阿摩線上測驗
登入
首頁
>
作業研究
> 104年 - 104 公務升官等考試_簡任_工業工程:作業研究(包括線性規劃與等候理論)#31744
104年 - 104 公務升官等考試_簡任_工業工程:作業研究(包括線性規劃與等候理論)#31744
科目:
作業研究 |
年份:
104年 |
選擇題數:
0 |
申論題數:
4
試卷資訊
所屬科目:
作業研究
選擇題 (0)
申論題 (4)
一、請描述並解釋在建立線性規劃模式中之四個重要假設,試以其中一假設為例,說明 如違反該假設,應使用作業研究中之何方法或技術來合理處理。(25 分)
【已刪除】二、大綠光太陽能電力建廠計畫包含七大工程(Activities A,B,…,G),其工程先行順序與 施工時間預估值如下表:
請繪製該計畫之計畫網路圖(節線為工程,節點為事件),計算每一工程之期望完工 時間與變異度,與整個計畫期望完工時間與變異度。如將每一工程之期望完工時間 視為確定值,請將此計畫之臨界要徑(Critical path)問題改寫為數學規劃模式,清 楚定義決策變數、目標式與相關限制式,以決定計畫之最早完工時間。(數學規劃模 式部分不須求解)(25 分)
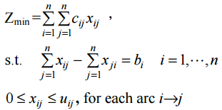
【已刪除】三、針對下述之最小成本網路流量問題:
其中 c
ij
為由節點 i 至節點 j 單位流量運送成本之係數,x
ij
為流量決策變數,b
i
為該節 點之供應或需求量(>0,<0,或=0),u
ij
為該節線之流量上限。請詳細說明在何種必 要條件下,上述問題必有可行解?在何種必要條件下,上述問題之最佳解必為整數? (25 分)
四、一加水站考慮兩種不同之設施佈置方案,統計資料顯示民眾進入加水站之速率為指 數分配,平均每小時為λ個人。在第一種佈置方案中,假設民眾進入加水站只有一條 等候線,其等候空間可視為無限,擬安裝一台加水機,其服務速率為指數分配,平 均每小時可服務μ個人(μ>λ)。在第二種佈置方案中,假設民眾進入加水站可平均 分配至兩條獨立之等候線,其等候空間亦可視為無限,每條等候線上均安裝一台加 水機,每台加水機之服務速率為指數分配,平均每小時可服務μ/2 個人(即兩台加水 機其服務速率總和為平均每小時μ人)。請將此加水機設施佈置問題改寫為兩種不同 等候模式,畫出機率轉移平衡圖,計算穩態機率值。並比較兩種設計方案中在加水 站內之期望民眾數,與民眾在加水站內之期望停留時間,以作為市政府決策之依據 (即期望值較小或較短者為佳)。(25 分)
相關試卷
114年 - 114 地方政府公務特種考試_三等_工業工程:作業研究#134713
114年 · #134713
114年 - 114 專技高考_工業工程技師:作業研究#133680
114年 · #133680
114年 - 114 高等考試_三級_工業工程:作業研究#128750
114年 · #128750
113年 - 113 地方政府公務特種考試_三等_工業工程:作業研究#124521
113年 · #124521
113年 - 113 專技高考_工業工程技師:作業研究#123885
113年 · #123885
113年 - 113 高等考試_三級_工業工程:作業研究#121489
113年 · #121489
112年 - 112 地方政府特種考試_三等_工業工程:作業研究#118325
112年 · #118325
112年 - 112 專技高考_工業工程技師:作業研究#117594
112年 · #117594
112年 - 112 公務升官等考試_薦任_工業工程:作業研究#117328
112年 · #117328
112年 - 112 高等考試_三級_工業工程:作業研究#115450
112年 · #115450