阿摩線上測驗
登入
首頁
>
工程數學(應用數學, 線性代數、微分方程、複變函數與機率)
> 104年 - 104 專技高考_電機工程技師:工程數學(包括線性代數、微分方程、複變函數與機率)#41833
104年 - 104 專技高考_電機工程技師:工程數學(包括線性代數、微分方程、複變函數與機率)#41833
科目:
工程數學(應用數學, 線性代數、微分方程、複變函數與機率) |
年份:
104年 |
選擇題數:
0 |
申論題數:
10
試卷資訊
所屬科目:
工程數學(應用數學, 線性代數、微分方程、複變函數與機率)
選擇題 (0)
申論題 (10)
【已刪除】一、試利用拉氏轉換(Laplace transform)
求解 y′′ + 4t y′ − 4 y = 0 ; y (0) = 0 , y′(0) = −7 , 其中
。(20 分)
⑴ 求 A 的特徵值(eigenvalues)。(5 分)
⑵ 求 A 的特徵向量(eigenvectors)。(5 分)
⑶ 求矩陣 P 及 Λ ,使得 A = PΛP
−1
,其中 P 及 Λ 均為 3× 3 矩陣,且 Λ 必須為對角矩 陣(diagonal matrix)。(10 分)
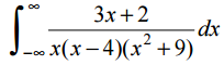
【已刪除】三、試求
之值。(20 分)
⑴ E[ X ] (5 分)
⑵ E[Y ] (5 分)
⑶ E[ X 2 ] (5 分)
⑷ E[ X Y ] (5 分)
五、試求 ∫
C
x y z dx − cos( y z )dy + x z dz ,其中 C 弧係由起點 (1, 1, 1) 至終點 (−2 , 1, 3 ) 所定 義之直線線段。(20 分)
相關試卷
114年 - 114 專技高考_電機工程技師:工程數學(包括線性代數、微分方程、複變函數與機率)#133679
114年 · #133679
114年 - 114 專技高考_電子工程技師:工程數學(包括線性代數、微分方程、向量分析、複變函數與機率)#133677
114年 · #133677
114年 - 114 調查特種考試_三等_電子科學組:工程數學#129578
114年 · #129578
114年 - 114 國家安全情報特種考試_三等_電子組(選試英文):工程數學#127780
114年 · #127780
113年 - 113 專技高考_電子工程技師:工程數學(包括線性代數、微分方程、向量分析、複變函數與機率)#123976
113年 · #123976
113年 - 113 專技高考_電機工程技師:工程數學(包括線性代數、微分方程、複變函數與機率)#123971
113年 · #123971
113年 - 113 調查特種考試_三等_電子科學組:工程數學#122110
113年 · #122110
113年 - 113 身心障礙特種考試_三等_電力工程:工程數學#119517
113年 · #119517
112年 - 112 地方政府特種考試_三等_電力工程、電子工程:工程數學#118376
112年 · #118376
112年 - 112 專技高考_電機工程技師:工程數學(包括線性代數、微分方程、複變函數與機率)#117639
112年 · #117639