所屬科目:國營事業◆1.計算機概論 2.自動控制
(一)若【圖1】中的PC 1使用瀏覽器,觀看網 際網路上 Web Server 的網頁,依 據NAT運作原理,請依下表作答:(14分)
四、有一控制系統,如【圖2】所示,請計算此系統穩定時的K值。(15分)
五、【圖3】為具有轉速計回授的系統方塊圖,若系統的相對阻尼比為60%,請計算轉速計的增益常數K。(計算至小數點後第3位,以下四捨五入)(15分)
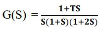
六、已知一單位回授控制系統的開迴路轉移函數為,若欲使此系統有無窮大 增益邊限,請計算T的最小值。(20分)