阿摩線上測驗
登入
首頁
>
普通高中學力鑑定-數學
> 104年 - 104 自學進修普通型高級中等學校畢業程度學力鑑定考試:數學#55532
104年 - 104 自學進修普通型高級中等學校畢業程度學力鑑定考試:數學#55532
科目:
普通高中學力鑑定-數學 |
年份:
104年 |
選擇題數:
12 |
申論題數:
10
試卷資訊
所屬科目:
普通高中學力鑑定-數學
選擇題 (12)
1. 使
為正整數的正整數 n 有多少個? (A)1(B)2 (C)4 (D)8
2. 在等比數列 <a
n
> 中,已知
,則公比 r 之值為何? (A)2 (B) 123(C)3 (D)
3. 設數值資料 1,2,3,…,n 的標準差為 2,則 n 的值為何? (A)7 (B)8 (C)9 (D)10
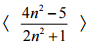
4. 求
為何? (A)3 (B)2 (C)1 (D)0
5. 何者的值與 cos( - 1035°)的值相同? (A) cos225° (B) sin( - 135°) (C) sin45° (D) cos135°
6. 圓 C:x
2
+y
2
-4x-8y+19=0,則下列正確者為 (A) 圓心(4,8) (B) 半徑 1 (C) 圓 C 與 x 軸相切 (D) 圓 C 與 y 軸相切
7. 在平行四邊形 ABCD 中,
的值為 (A) 10 (B) 12 (C) 14 (D) 16
8. 已知一汽車前燈的縱切面位在拋物線 y
2
= 8x 上,我們應該將燈泡放在焦點才能將光線投射得最遠,求焦點? (A) (1,0) (B) (2,0) (C) (3,3) (D) (4,1)
9. 在空間中,下列何者為真? (A) P(a,b,c)在 x 軸上之投影為(a,b,0) (B) P(a,b,c)在 xy 平面上之投影為(a,0,0) (C) P(a,b,c)對 x 軸之對稱點為(a, - b, - c) (D) P(a,b,c)對 xy 平面之對稱點為( - a, - b,c)
10. 擲一均勻硬幣三次,若每出現一個正面得 4 元,一個反面賠 2 元,則所得總額之期望值為? (A)3 (B)4 (C)5 (D)6
11. 設生男生女的機率均等,對有 3 個小孩的家庭而言,令隨機變數 X 表示男孩的數量,隨機變數 Y 表示女孩的 數量,下列選項何者正確: (A) X 的期望值為 2 個 (B) X 的變異數比 1 大 (C) Y 的標準差比 1 小 (D) Y 的期望值為 1 個
12. 某校欲從高二「甲, 乙, 丙, 丁」四個班級中隨機選取一個班級進行數學測驗,考慮下列 2 個方法:
方法 1:四個班的導師抽籤,抽中的導師該班為抽測班級。
方法 2:以簡單隨機抽樣選取一名高二學生,以他所在的班為施測班級。 若四班的人數均不同,其中甲班人數最多,則下列敘述哪些是正確的? (A) 方法 1 中,每一位高二學生被抽測的機會均等 (B) 方法 2 中,每一位高二學生被抽測的機會均等 (C) 方法 2 中,四個班被抽測的機會均等 (D) 甲班被抽測的機率,方法 1 較方法 2 高
申論題 (10)
【已刪除】 二、填充題:( 10 題,每題 4 分,共 40 分)
1. 若
之餘式為 4,則 a 之值為____ 。
2. 從男子 6 人,女子 4 人中選 3 人組成一個委員會,共有_________種選法。
3. 擲一個均勻的硬幣 10 次,則恰在第 6 次出現第 3 次正面的機率為____ 。
4. 方程式 x + log x= 0有 ____個實數解。
【已刪除】5. 設 A(1,2,3),B(5,6,7),則
之垂直平分面方程式為____ 。
6. 設△ABC 三頂點的坐標為 A(1,5,2)﹐B(4, - 1,8)﹐C(10, - 1, - 4)﹐則△ABC 的面積為 ____。
【已刪除】7. 求二個矩陣的乘積:
=____ 。
【已刪除】8. 無窮數列
的極限值為 ____。
9. 設 A、B 為獨立事件且 P(A)=0.3,P(B)=0.4 ,則 P(A∩B)=____ 。
【已刪除】10.已知函數
處連續,則實數 a=____ 。
相關試卷
114年 - 114 自學進修普通型高級中等學校畢業程度學力鑑定考試試題:數學科#137290
114年 · #137290
113年 - 113 自學進修普通型高級中等學校畢業程度學力鑑定考試試題:數學科#123233
113年 · #123233
112年 - 112 自學進修普通型高級中等學校畢業程度學力鑑定考試試題:數學科#116769
112年 · #116769
111年 - 111 自學進修普通型高級中等學校畢業程度學力鑑定考試:數學#111056
111年 · #111056
110年 - 110 自學進修普通型高級中等學校畢業程度學力鑑定考試:數學#103042
110年 · #103042
109年 - 109 自學進修普通型高級中等學校畢業程度學力鑑定考試:數學#93959
109年 · #93959
108年 - 108 自學進修普通型高級中等學校畢業程度學力鑑定考試:數學#79731
108年 · #79731
107年 - 107 自學進修普通型高級中等學校畢業程度學力鑑定考試:數學#83442
107年 · #83442
106年 - 106 自學進修普通型高級中等學校畢業程度學力鑑定考試:數學#70346
106年 · #70346
105年 - 105 自學進修普通型高級中等學校畢業程度學力鑑定考試:數學#64947
105年 · #64947