所屬科目:普通高中學力鑑定-數學
1. 如下圖,直線 L1、L2 、L3 、L4 的斜率分別為 m1、m2 、m3、m4 , 其中 L4 為水平線,試問何者值最小?
(A) m1 (B) m2 (C) m3 (D) m4 。
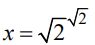
2. 設 ,求之值為何? (A) √2 (B) 2 (C) (D) 4。
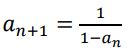
3. 數列 滿足a1=4,,n 為正整數,試問哪個選項的值也是 4? (A) (B) (C)(D) 。
4. 下列哪一個圖,其相關係數最小? (A) (B) (C) (D)
5. 下圖為一個底面正方形,四個側面都是正三角形的四角錐。 請問哪條直線與直線 AD 歪斜?
(A) 直線 CE (B) 直線 BC (C) 直線 CD (D) 直線 DE。
6. 甲、乙、丙、丁四位好友到餐廳用餐,其餐桌座位如下圖所示, 若四人隨機入座,則甲坐在乙對面的機率為何?
(A) (B) (C) (D) 。
7. (A) -1 (B) 0 (C) 1 (D) 3。
8. 在△ABC 中, ,求 ∠ A= (A) 30°(B) 45° (C) 60° (D) 75°。
9. 設 A (5, a )與 B (45, b) 都在 y= log3X 的圖形上,則的斜率為? (A) 20 (B) (C) -20 (D) 。
10.請找出過點 (-1,2),且和x2+y2-2y-3=0此圖形相切的直線方程式: (A) x+2y-3=0 (B) x-2y+5=0 (C) 2x-y+4=0 (D) 2x+y=0。
11.數列 ,…,,…, 共有十項,且其和為 240,則 a1+…+ +…+之值為何? (A) 130 (B) 100 (C) 140 (D) 150。
12.有一箱子,內有 3 黑球與 2 白球。有一遊戲,從箱子中任取出一球。假設每 一顆球被取出的機率都相同,若取出黑球可得獎金 50 元,而取出白球可得獎 金 100 元,則下列哪一個選項是此遊戲的獎金期望值? (A) 70 元 (B) 75 元 (C) 80 元 (D) 85 元。
二、填充題:
1. 已知扇形的面積為 40π,圓心角為 144°,則扇形的半徑為______ 。
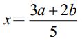
2. 設a、b為正實數,且ab =32,則a + 2b的最小值為______ 。
3. 下圖為一長方體, EFGH 是一個正方形。已知 = 6, = 7 ,則正方形 EFGH 的面積為______ 。
4. 已知介在 a 和 a+1 之間,其中 a 為整數,則 a = ______。
6. 擲一個均勻的硬幣 10 次,則恰在第 6 次出現第 3 次正面的機率為______ 。
7. 甲、乙兩人練習傳遞密碼的遊戲,已知密碼為甲的生日 abcd 四個數字。(例: 若甲為 12 月 10 日出生,則密碼為 1210)。甲會傳一個矩陣 A 給乙,並約定 密碼滿足關係式 。甲傳的矩陣,求密碼 abcd =______ 。
8. 一多項式 f(x),若以 x +1 除之,可得餘式為 6;若以 x - 3 除之,餘式為−2; 則以 ( x+1) (-3) 除 f (x) 可得餘式______ 。
9. 設某工廠由甲、乙、丙三部機器製造同一產品,工廠的全部產品中甲占 50%, 乙占 30%,丙占 20%,又依過去經驗,知甲機器的產品中有 5%、乙機器有 3%、丙機器有 4%為不良品。今從全部產品中任選一產品,已知選出的產品 為不良品時,此不良品為甲機器生產的機率為______ 。
10.滿足 (-10)2(x2+x-6)(x2+x+1)<0 的整數解 x 共有______個。