阿摩線上測驗
登入
首頁
>
普通高中學力鑑定-數學
>
114年 - 114 自學進修普通型高級中等學校畢業程度學力鑑定考試試題:數學科#137290
> 試題詳解
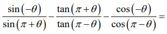
7.
(A) -1
(B) 0
(C) 1
(D) 3。
答案:
登入後查看
統計:
A(2), B(3), C(3), D(7), E(0) #3814380
詳解 (共 1 筆)
Rachael
B1 · 2026/02/13
#7298124
(共 1 字,隱藏中)
前往觀看
0
0
相關試題
1. 如下圖,直線 L1、L2 、L3 、L4 的斜率分別為 m1、m2 、m3、m4 , 其中 L4 為水平線,試問何者值最小? (A) m1 (B) m2 (C) m3 (D) m4 。
#3814374
2. 設 ,求之值為何? (A) √2 (B) 2 (C) (D) 4。
#3814375
3. 數列 滿足a1=4,,n 為正整數,試問哪個選項的值也是 4? (A) (B) (C)(D) 。
#3814376
4. 下列哪一個圖,其相關係數最小? (A) (B) (C) (D)
#3814377
5. 下圖為一個底面正方形,四個側面都是正三角形的四角錐。 請問哪條直線與直線 AD 歪斜? (A) 直線 CE (B) 直線 BC (C) 直線 CD (D) 直線 DE。
#3814378
6. 甲、乙、丙、丁四位好友到餐廳用餐,其餐桌座位如下圖所示, 若四人隨機入座,則甲坐在乙對面的機率為何? (A) (B) (C) (D) 。
#3814379
8. 在△ABC 中, ,求 ∠ A= (A) 30°(B) 45° (C) 60° (D) 75°。
#3814381
9. 設 A (5, a )與 B (45, b) 都在 y= log3X 的圖形上,則的斜率為? (A) 20 (B) (C) -20 (D) 。
#3814382
10.請找出過點 (-1,2),且和x2+y2-2y-3=0此圖形相切的直線方程式: (A) x+2y-3=0 (B) x-2y+5=0 (C) 2x-y+4=0 (D) 2x+y=0。
#3814383
11.數列 ,…,,…, 共有十項,且其和為 240,則 a1+…+ +…+之值為何? (A) 130 (B) 100 (C) 140 (D) 150。
#3814384
相關試卷
114年 - 114 自學進修普通型高級中等學校畢業程度學力鑑定考試試題:數學科#137290
2025 年 · #137290
113年 - 113 自學進修普通型高級中等學校畢業程度學力鑑定考試試題:數學科#123233
2024 年 · #123233
112年 - 112 自學進修普通型高級中等學校畢業程度學力鑑定考試試題:數學科#116769
2023 年 · #116769
111年 - 111 自學進修普通型高級中等學校畢業程度學力鑑定考試:數學#111056
2022 年 · #111056
110年 - 110 自學進修普通型高級中等學校畢業程度學力鑑定考試:數學#103042
2021 年 · #103042
109年 - 109 自學進修普通型高級中等學校畢業程度學力鑑定考試:數學#93959
2020 年 · #93959
108年 - 108 自學進修普通型高級中等學校畢業程度學力鑑定考試:數學#79731
2019 年 · #79731
107年 - 107 自學進修普通型高級中等學校畢業程度學力鑑定考試:數學#83442
2018 年 · #83442
106年 - 106 自學進修普通型高級中等學校畢業程度學力鑑定考試:數學#70346
2017 年 · #70346
105年 - 105 自學進修普通型高級中等學校畢業程度學力鑑定考試:數學#64947
2016 年 · #64947