阿摩線上測驗
登入
首頁
>
教甄◆數學
> 105年 - 國立新竹教育大學 國民小學師資類科教育學程甄選筆試-數學#54763
105年 - 國立新竹教育大學 國民小學師資類科教育學程甄選筆試-數學#54763
科目:
教甄◆數學 |
年份:
105年 |
選擇題數:
15 |
申論題數:
0
試卷資訊
所屬科目:
教甄◆數學
選擇題 (15)
1.曱
,如果乙是甲的5倍,請問甲÷4÷乙=? (A)2 (B)0.2 (C)0. 05 (D)20 59
2.用下面5張數字卡拼成數字不相同的五位數,所能拼出的 數字中,最大和最小的數字差多少?
(A) 41976 (B) 41967 (C) 42024 (D) 44444
3.有兩個一樣的杯子,各裝了不同量的水,如果把甲杯中
的水倒入乙杯中,則兩杯 的水位一樣高,請問曱杯中原來的水量是乙杯中原來水量的多少倍?(A)
(B)
(C)
(D) 6
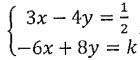
4.若
有無限多組解’則K=? (A) 4 (B) — 4 (C) 1 (D) -1
5.下列哪一個關係式表示y與x成正比? (A) 3x—Ay=b (B) -3x+y=0 (C) y= 3x
2
(D) 2 : x=y : 9
6.影印店規定:影印1張1元,影印1000張以上打八五折,如果小明要影印的張數不到 1000張,結帳後他仔細想想,發現如果他直接印1000張的話反而會比較便宜,那麼小 明「至少」印幾張以上? (A) 888 張 (B) 851 張 (C) 821 張 (D)808 張
7.觀察右表中圖形的交點總數,若要排列出31個長方 形,會有多少個交點? (A) 63 (B) 95 (C) 135 (D) 151
8.若甲、乙兩數有下列兩種關係:(1) |甲丨> |乙|、(2)甲<乙,則甲、乙兩數在數線 上的位置可為下列何者?(A)
(B)
(C)
(D)
.
9. 486
2
- 25 的值是下列何者的倍數?(A) 495 (B) 489 (C) 491 (D) 423 .
10.下列哪一個選項是正確的? (A)
也等於 7 (B)因為一7
2
:=—49,所以任一7是一 49的平方根 (C) 49的平方根有7、一7,所以任一個數都有兩個平方根,一個正數,一個負數 (D)因為 49 = 7
2
,所以 49 = ( —7
2
)
重新載圖
11.如右圖’
為圓(9直徑,P、Q、R、S為圓上相異四點,則下列敘述何者正確? (A) ∠AQB為銳角 (B) △APB
△ARB (C) ∠APB為鈍角 (D)∠ASB=∠ARB
12.將兩個邊長均為20公分的正方形如右圖所示疊放在一起,重 疊部分的面積是36平方公分的正方形。算出重疊後的整個圖 形的周長是幾公分?(A)80 (B) 128 (C) 136 (D) 764
13.右圖所示(左邊)為一張正方形紙張,將其四 個角摺起來後,形成一個内部有一小正方形的 正方形(右邊)。請計算右邊圖形中陰影部分 的正方形面積是多少平方公分? (A) 9 (B) 16 (C) 49 (D) 58
14.如下圖,有一片質地均勻的三角形木板,從A點打個洞穿線,線的一端將整片三角 形木板懸吊起來,另一端則綁上重物,自然垂下,則下列敘述何者正確? (A)
邊上的中線 (B)
垂直平分
(C)E為△ABC外心 (D)
平分∠BAC
複選題
15.如圖,△ABC中,
=5,下列敘述何者錯誤? (A) △ABC與△ADE的面積比是4 : 1 (B) △ABD與△ADC的面積比是16 : 36 (C) △ABC與△ADC的面積比是5 : 3 (D) △ABE與△ABC的面積比是1 : 2
申論題 (0)
相關試卷
115年 - 115 桃園市立陽明高中_教師甄選試題:數學科#139018
115年 · #139018
115年 - 115 國立高科實驗高級中等學校_專任教師甄選_國小部:普通科(數學)#138942
115年 · #138942
115年 - 115-1 國立彰化女子高級中學_教師甄選試題:數學科#138761
115年 · #138761
115年 - 115-1 臺中市立文華高級中等學校_教師甄選專業知能試題:數學科#138727
115年 · #138727
115年 - 115-2 台北市立建國高級中學_正式教師甄選試題:數學科#138704
115年 · #138704
115年 - 115-1 國立嘉科實驗高級中學_教師甄選試題_國中部:數學科#138695
115年 · #138695
115年 - 115-1 臺北市立中正高級中學_專任教師甄選初試試題:數學科#138690
115年 · #138690
115年 - 115-1 國立羅東高中_教師甄選初試︰數學科#138675
115年 · #138675
115年 - 115-1 臺南市立沙崙國際高級中學高中部_教師甄選試題:數學科#138673
115年 · #138673
115年 - 115-1 國立蘭陽女子高級中學_教師甄選試題︰數學科#138666
115年 · #138666