阿摩線上測驗
登入
首頁
>
教甄◆數學
> 105年 - 教育部受託辦理 105 學年度公立高級中等學校教師甄選數學科試題#51563
105年 - 教育部受託辦理 105 學年度公立高級中等學校教師甄選數學科試題#51563
科目:
教甄◆數學 |
年份:
105年 |
選擇題數:
12 |
申論題數:
12
試卷資訊
所屬科目:
教甄◆數學
選擇題 (12)
1. 級數4
5
+5
5
+6
5
+7
5
+9
5
+
1
1
5
=?(A) 12
5
(B) 13
5
(C) 14
5
(D) 15
5
2. 下列各選項中,哪一個值最大?
(A)( cos
2
25°-sin
2
25° )(B)
(C)
(D)
3. 設t 為實數,若橢圓
與雙曲線
有共同的焦點,則t 值=?
(A)9(B)5(C)-7(D)-10
4. 設 x, y 均為正整數,滿足0 < x< y 且 √2016 = √x+√y ,則整數序對(x, y ) 共有多少組解? (A)1組解 (B)3組解 (C)5組解 (D)7組解
5. 擲一個公正骰子三次,所擲出的點數依序為 a 、 b 、 c ,則使得多項式
為二次函數的機率為? (A) 8/9 (B) 11/12 (C) 23/24 (D) 67/72
6. 有A、B、C、D、E五個觀光站,今規劃 5 天的觀光路線,每一天只觀光一站,且隔天必到 另一站觀光,而每一站觀光次數不限。求第一天在 A站,第 5 天在C 站的觀光路線安排, 共有幾種方法? (A)50 (B)51 (C)52 (D)53
7. 設a 、b 皆為自然數,已知方程式 x
2
-4ax+4a
2
-4a-3b+9的兩根之差為2 √101,則滿 足上述條件數對( a,b ) 有幾組? (A)9組 (B)10組 (C)26組 (D)36組
8. 設k 為自然數,已知直線2x+3y=k 在第一象限內恰有 122 個格子點,則k 的可能值有幾個? (A)5個 (B)6個 (C)7個 (D)8個
複選題
9.關於 f(x)=3x
3
-x
2
-2x,下列敘述何者正確? (A)在點(1,f (1) ) 的切線方程式為 y= 5x
(B)函數 y fx = ( ) 的圖形與直線 x = 0 , x =1, y = 0所圍區域面積為 7/12 (C)反曲點為
(D)與 x 軸交於相異三點
複選題
10.設有 A, B ,C , D 四筆資料如右表: 而σ
A
,σ
B
,σ
C
,σ
D
分別表 A, B ,C , D 的標準差, µ
A
, µ
B
,µ
C
, µ
D
分別表 A, B ,C , D 的算術平均數, r
1
, r
2
, r
3
分別表 A與 B , A與C 及 A與 D的相關係數, 則下列敘述何者正確? (A) µ
B
> µ
C
> µ
A
> µ
D
(B) σ
B
>σ
A
>σ
C
>σ
D
(C) r
1
= r
2
> r
3
(D) σ
A
=
複選題
11.設 p 為整數且給定多項式f(x)=x
5
-2px
4
+x
3
-3px
2
+x-2,則下列選項哪些是正確 的?
(A) x −1一定不是 f( x )的因式
(B)若 x +1是 f (x )的因式,則 x + 2也是 f (x )的因式
(C)若 x +1不是 f (x )的因式,則 f ( x)一定沒有整係數的一次因式
(D) ( x +1)
2
可能是 f ( x)的因式
複選題
12.
﹐ 且已知 A =PBP
−1
,下列敘述何者正確? (A) A
2
-3A-2I=O
(B) A
4
-7A
3
+10A
2
-8A+3I =
(C) B =
(D)A
10
=
申論題 (12)
【已刪除】1.雙曲線 Γ : x
2
-y
2
=9 ,兩焦點F
1
,F
2
,弦
通過F
1
,且
長為15,則△ABF
2
的周長為_______
【已刪除】2.設 x , y ∈ R ,則
的最小值為 _______,此時 ( x ,y ) =___________
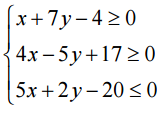
【已刪除】3.若(x, y ) 為不等式組
所表示圖形上的任一點,且k= ax − y 在( 4,0 ) 有最小值時,則 實數a的範圍為_____
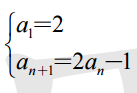
【已刪除】4.設數列〈a
n
〉的遞迴關係式為
, n N ∈ ,求滿足 a
n
>1000的最小自然數n為_____
【已刪除】5.有一個房間的地面是由 12 個正方形所組成,如右圖。今想用長方形瓷磚舖滿地面, 已知每一塊長方形瓷磚可以覆蓋兩個相鄰的正方形,即
或
。則用 6 塊瓷磚舖滿房間地面的方法有 _____ 種
6.設 P 是正方形ABCD 內部一點,且 P 到 A、B、C 三頂點的距離分別為 1、2、3,求此正方形的 面積為_____
【已刪除】7.設 ∆ABC 是邊長為2的正三角形,已知 P 為
上一點, Q 為
上一點,且
= 1 。 ∠ =° BPQ 45 ,則∆BPQ 的面積為_____
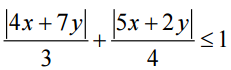
【已刪除】8.坐標平面上,不等式
所圍成的區域面積為_____
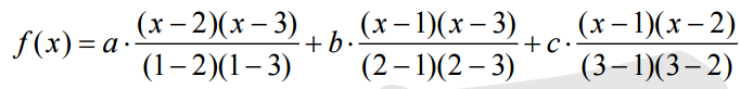
【已刪除】9.設矩陣
,則矩陣 A中各元的和為_____
【已刪除】10.坐標平面上,由原點O 作圓( x-6)
2
+ (y-7 )
2
=10 得兩切點為 A B, 。設 P 為射線OB 上一點, 則
的最大值為_____
【已刪除】
計算題
1. 已知有一個正四面體的四頂點落在兩歪斜線
上, 求此正四面體的稜邊長?
2. 已知 為邊長為 1 的正三角形,設 BC 邊上有n −1個等分點,由 B 點到C 點的順序為 123 1 ,,,, PPP P n− ,且令 B P = 0,C P = n 。若 n n 1 12 23 1 S AB AP AP AP AP AP AP AC = ⋅ + ⋅ + ⋅ ++ ⋅ − , 試求
相關試卷
115年 - 115-1 新竹縣立湖口高中_正式教師甄選試題:數學科#138653
115年 · #138653
115年 - [無官方正解]115-1 國立屏科實驗高級中等學校_教師甄選:高中數學科#138645
115年 · #138645
115年 - 115-1 國立屏科實驗高級中等學校_教師甄選試題:國中數學科#138641
115年 · #138641
115年 - 115-1 國立嘉科實驗高級中學_教師甄選試題_高中部:數學科#138615
115年 · #138615
115年 - 115-1 臺北市立大同高級中學_教師甄選初選試題:高中數學科#138591
115年 · #138591
115年 - 115-1 臺北市立大安高工教師甄選試題:數學科#138455
115年 · #138455
115年 - 115-1 國立臺灣師範大學附屬高級中學_專任教師甄選試題:數學科#138411
115年 · #138411
115年 - 115-1 國立臺灣師範大學附屬高級中學_專任教師甄選試題:數學科#138410
115年 · #138410
115年 - 115-1 國立臺灣師範大學附屬高級中學_專任教師甄選試題:數學科#138409
115年 · #138409
115年 - 115-1 臺北市立麗山高級中學_正式教師甄選試題:數學科#138397
115年 · #138397