阿摩線上測驗
登入
首頁
>
輸配電學
> 105年 - 105年高等三級暨普通考普通輸配電學概要 #54298
105年 - 105年高等三級暨普通考普通輸配電學概要 #54298
科目:
輸配電學 |
年份:
105年 |
選擇題數:
0 |
申論題數:
7
試卷資訊
所屬科目:
輸配電學
選擇題 (0)
申論題 (7)
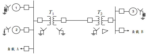
【已刪除】一、畫出圖 1 所示之電力系統的單相阻抗圖 (impedance diagram per phase)及忽略負載時 的零序阻抗圖(Zero-sequence impedance diagram)(20 分) 。
⑴何謂輸電線的導體換位(Transposition)?請繪出一個完整的三相導體換位週期 (Transposition cycle)(10 分) 。
⑵何謂輸電線的突波阻抗負載(Surge impedance loading)?請說明。(10 分)
⑴大部分的工業電力負載之功率因數為超前、落後或是單位功因?請說明原因。 (5分)
⑵某電力負載自三相 220-V 之電源吸收 20 kVA、0.707 落後功因(Lagging power factor)之電力,若並聯一電容器,以提升該負載之功因至 0.95,試求電容器之 kVA 額定值(以 kVAR 表示)與電容器並聯前及並聯後的線電流。 (15 分)
【已刪除】四、如圖 2 所示之三相四線系統,相導體間的互感皆為Z
ab
,每條相導體到中性線之互感 皆為Z
an
。線路之電壓(KV)資料如下:
線路之阻抗(單位為 Ω)資料如下:
Z
aa
= j 60 Z
ab
= j 20 Z
nn
= j80 Z
an
= j 30
利用對稱分量法(Symmetrical Components)決定線路電流I
a
、I
b
及I
c
。(20 分)
五、差動電驛(Differential relay)應用於電力變壓器保護時,你認為是針對變壓器的外 部故障(External faults)、內部故障(Internal faults)或是過載(Overloads)何者進 行保護?試繪出單相雙繞組電力變壓器差動保護的接線圖,並標示所有元件的極性 與電流方向。 (20 分)
相關試卷
114年 - 114 地方政府公務特種考試_四等_電力工程:輸配電學概要#134797
114年 · #134797
114年 - 114 普通考試_電力工程:輸配電學概要#128759
114年 · #128759
113年 - 113 地方政府公務特種考試_四等_電力工程:輸配電學概要#124495
113年 · #124495
113年 - 113 普通考試_電力工程:輸配電學概要#121395
113年 · #121395
112年 - 112 地方政府特種考試_四等_電力工程:輸配電學概要#118361
112年 · #118361
112年 - 112 普通考試_電力工程:輸配電學概要#115762
112年 · #115762
112年 - 112 鐵路特種考試_員級_電力工程:輸配電學概要#114947
112年 · #114947
111年 - 111 地方政府特種考試_四等_電力工程:輸配電學概要#112369
111年 · #112369
111年 - 111 中華郵政股份有限公司_職階人員資產營運及工程類科甄試_專業職一-電子工程:輸配電學概要#111690
111年 · #111690
111年 - 111 中華郵政股份有限公司_職階人員資產營運及工程類科甄試試題_專業職(一)/電力工程:輸配電學概要#111521
111年 · #111521