阿摩線上測驗
登入
首頁
>
工程數學(應用數學, 線性代數、微分方程、複變函數與機率)
> 105年 - 105 一般警察特種考試_三等_消防警察人員:工程數學#53385
105年 - 105 一般警察特種考試_三等_消防警察人員:工程數學#53385
科目:
工程數學(應用數學, 線性代數、微分方程、複變函數與機率) |
年份:
105年 |
選擇題數:
0 |
申論題數:
7
試卷資訊
所屬科目:
工程數學(應用數學, 線性代數、微分方程、複變函數與機率)
選擇題 (0)
申論題 (7)
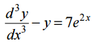
【已刪除】一、請求解下列之 3 階常微分方程式:
假設初始值為 y(0) = −1, y ′(0) = 0, y ′′(0) = 0。(20 分)
⑴我們可將以上線性代數方程組表示為矩陣型式,即 Ax = b。請寫出矩陣 A與向量 b, 並求矩陣 A之秩(rank)。(5 分)
⑵請以高斯消去法(Gaussian elimination method)判斷此線性代數方程組是否有解? 若無解,請說明原因。若有解,請求其一般解(general solution)。(20 分)
⑴氣流流速u(x, y)為氣壓分佈函數之梯度(gradient),請求出u(x, y)。(7 分)
⑵請求出氣壓分佈函數在一點 (x, y) = (0,1) 且沿著方向 v =[ 2 3]
T
之方向導數 (directional derivative)。(8 分)
【已刪除】四、請求解下列函數之傅立葉轉換(Fourier transform):
(15 分)
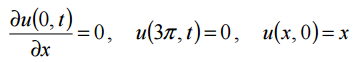
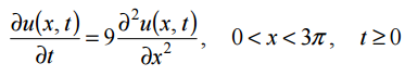
【已刪除】五、請求解下列熱傳方程式:
其邊界條件與初始條件為
。(25 分)
相關試卷
114年 - 114 專技高考_電機工程技師:工程數學(包括線性代數、微分方程、複變函數與機率)#133679
114年 · #133679
114年 - 114 專技高考_電子工程技師:工程數學(包括線性代數、微分方程、向量分析、複變函數與機率)#133677
114年 · #133677
114年 - 114 調查特種考試_三等_電子科學組:工程數學#129578
114年 · #129578
114年 - 114 國家安全情報特種考試_三等_電子組(選試英文):工程數學#127780
114年 · #127780
113年 - 113 專技高考_電子工程技師:工程數學(包括線性代數、微分方程、向量分析、複變函數與機率)#123976
113年 · #123976
113年 - 113 專技高考_電機工程技師:工程數學(包括線性代數、微分方程、複變函數與機率)#123971
113年 · #123971
113年 - 113 調查特種考試_三等_電子科學組:工程數學#122110
113年 · #122110
113年 - 113 身心障礙特種考試_三等_電力工程:工程數學#119517
113年 · #119517
112年 - 112 地方政府特種考試_三等_電力工程、電子工程:工程數學#118376
112年 · #118376
112年 - 112 專技高考_電機工程技師:工程數學(包括線性代數、微分方程、複變函數與機率)#117639
112年 · #117639