所屬科目:技檢◆測量-丙級
14. 某三角形土地,經測得其三邊之長度分別為 50m,60m,70m,則此土地之面積為 (A) m2(B)1,500m2(C)m2(D)m2。
25. 地圖上之"BM "記號表示(A)導線點(B)圖根點(C)三角點(D)水準點。
33. 有一距離為 3,000 公尺,使用之全測站經緯儀電子測距精度為±(3 ㎜+5ppm),如儀器對心誤差為 3 ㎜,稜鏡對心誤差為 5 ㎜,該距離觀測量之誤差為(A)16 ㎜(B) ㎜(C) ㎜(D) ㎜。
53. 若普通水準測量之誤差界限為 ,則水準路線長度為 4,000m 時閉合差之絕對值不可 超過(A)160 ㎜(B)20 ㎜(C)80 ㎜(D)40 ㎜。
56. 地圖上之" "記號表示(A)小橋(B)房屋(C)水溝(D)道路。
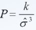
79. 假設以 P 來表示一觀測量的權,而該觀測量的標準差為 ,則權與標準差的關係為(A) (B) (C) (D) (k 為比例常數)。