所屬科目:交通安全
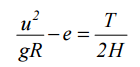
三、車輛行駛於道路上,往往因幾何設計或車輛結構不同,而影響其穩定性與安全性, 各變數間之關係以下式表示: 近來遊覽車翻車事故頻傳,試說明造成遊覽車翻車事故潛在原因?(12 分)為預防 此一類型事故,相關權責單位可由那些策略與作法著手改進?(13 分)