阿摩線上測驗
登入
首頁
>
國際經濟學
> 105年 - 105 普通考試_經建行政:國際經濟學概要#54499
105年 - 105 普通考試_經建行政:國際經濟學概要#54499
科目:
國際經濟學 |
年份:
105年 |
選擇題數:
0 |
申論題數:
9
試卷資訊
所屬科目:
國際經濟學
選擇題 (0)
申論題 (9)
一、外人直接投資(foreign direct investment)的方式有:垂直式與水平式,試比較這兩 種方式的異同。(25 分)
⑴X = 50,Y = 18,000;
⑵X = 100,Y = 18,000;
⑶X = 100,Y = 12,000;
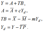
【已刪除】三、底下是一小國的總體均衡:
其中 Y 為產出、 A 為總合需求、 TB 為貿易餘額、
為自發性總合需求、
為自發性 出口、
為自發性進口、 0 < c < 1為邊際消費傾向、 0 < m < 1 為邊際進口傾向、 Yd 為 可支配所得、
為政府稅收。請計算該國的稅收乘數,並詳細說明那些因素影響此 乘數。 (25 分)
⑴、
⑵、
⑶、
⑷
相關試卷
114年 - 114 公務升官等考試_薦任_經建行政:國際經濟學#133054
114年 · #133054
114年 - 114 外交特種考試_三等_外交領事人員類科英文組一、外交領事人員類科法文組、外交領事人員類科德文組、外交領事人員類科日文組、外交領事人員類科西班牙文組、外交領事人員類科阿拉伯文組、外交領事人員類科義大利文組、外交領事人員類科葡萄牙文組:國際經濟#130941
114年 · #130941
114年 - 114 外交特種考試_三等_外交領事人員類科英文組二:國際經濟(以英文命題及作答)#130924
114年 · #130924
114年 - 114 國際經濟商務特種考試_三等_國際經濟商務人員類科國際經貿法律組:國際經濟學(國際貿易理論及實務、國際金融理論)#130836
114年 · #130836
114年 - 114 國際經濟商務特種考試_三等_國際經濟商務人員類科英文組、國際經濟商務人員類科日文組、國際經濟商務人員類科韓文組:國際經濟學(國際貿易理論及實務、國際金融理論)#130831
114年 · #130831
114年 - 114 國家安全情報特種考試_三等_國際組(選試英文):國際經濟學(含國際經貿組織)#127690
114年 · #127690
113年 - 113 國際經濟商務特種考試_三等_國際經濟商務人員類科英文組:國際經濟學(國際貿易理論及實務、國際金融理論)#122677
113年 · #122677
113年 - 113 外交特種考試_三等_外交領事人員類科英文組一、外交領事人員類科法文組、外交領事人員類科德文組、外交領事人員類科日文組、外交領事人員類科西班牙文組、外交領事人員類科阿拉伯文組、外交領事人員類科韓文組、外交領事人員類科俄文組、外交領事人員類科義大利文組、外交領事人員類科土耳其文組、外交領事人員類科葡萄牙文組:國際經濟#122654
113年 · #122654
113年 - 113 外交特種考試_三等_外交領事人員類科英文組二:國際經濟(以英文命題及作答)#122650
113年 · #122650
113年 - 113 國家安全情報特種考試_三等_國際組(選試英文):國際經濟學(含國際經貿組織)#120435
113年 · #120435