阿摩線上測驗
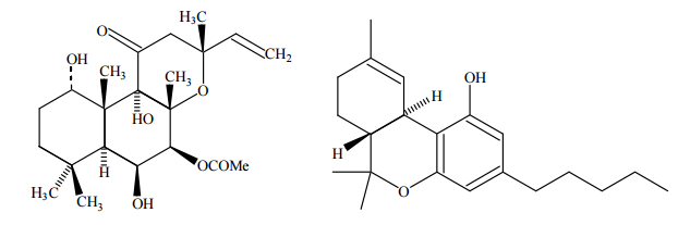
登入
首頁
>
公職 - 藥物分析與生藥學(包含中藥學)
> 105年 - 105 關務特種考試_三等_藥事:藥物分析與生藥學(包括中藥學)#50253
105年 - 105 關務特種考試_三等_藥事:藥物分析與生藥學(包括中藥學)#50253
科目:
公職 - 藥物分析與生藥學(包含中藥學) |
年份:
105年 |
選擇題數:
0 |
申論題數:
8
試卷資訊
所屬科目:
公職 - 藥物分析與生藥學(包含中藥學)
選擇題 (0)
申論題 (8)
⑴下列成分含於何種生藥?試述其科名、學名及用途。 (12 分)
【已刪除】 ⑵寫出下列成分之英文名稱及用途,並指出何種生藥含此成分,其生藥基原植物的 科名及學名為何?(10 分)
二、請用碘價、皂化價與酸價來說明並比較油脂(Lipids)的優劣,(6 分)試述為何不 飽和脂肪酸對人體有益,而飽和及反式脂肪酸對人體有害?(4 分)
三、試述 Schisandra chinensis、Gastrodia elata、Salvia miltiorrhiza、Plantago asiatica 和 Arctium lappa 之生藥名、科名、主成分及藥效。 (20 分)
【已刪除】四、Capsaicin 之化學結構如下,試述此成分的
1
H-NMR(CDCl3)會呈現那些訊號(含偶 合及偶合常數之分析)?(6 分)其 Broad Bend Decoupling
13
C-NMR 會出現幾支訊 號?(3 分)DEPT
13
C-NMR(脈衝角度= 45°, 90°, 135°)各別會出現幾支訊號?(6 分) 又在 EIMS 中會出現那些離子斷片(ion fragments)?(4 分)其官能基在 IR 圖譜中 又會呈現何種訊號?(3 分)
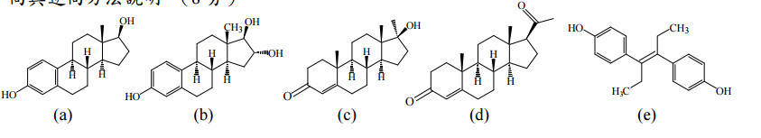
【已刪除】五、試述如何利用 NMR 分辨下列的化合物(黃酮與異黃酮)?(6 分)
【已刪除】六、在 HPLC 系統中分析下列化合物,試述其 retention time 的先後次序如何?分別用正 向與逆向方法說明。 (8分)
七、試述下列名詞之意涵,並說明其各項應用。(12 分) COSY、NOESY、HMBC
相關試卷
109年 - 109 關務特種考試_三等_藥事:藥物分析與生藥學(包括中藥學)#86276
109年 · #86276
106年 - 106 關務特種考試_三等_藥事:藥物分析與生藥學(包括中藥學)#61295
106年 · #61295
105年 - 105 高等考試_三級_藥事:藥物分析與生藥學(包括中藥學)#54241
105年 · #54241
104年 - 104 高等考試_三級_藥事:藥物分析與生藥學(包括中藥學)#42753
104年 · #42753
104年 - 104 公務升官等考試_薦任_藥事:藥物分析與生藥學(包括中藥學)#41230
104年 · #41230
104年 - 104 關務特種考試_三等_藥事:藥物分析與生藥學(包括中藥學)#22684
104年 · #22684
103年 - 103 高等考試_三級_藥事:藥物分析與生藥學(包括中藥學)#43534
103年 · #43534
103年 - 103 關務特種考試_三等_藥事:藥物分析與生藥學(包括中藥學)#15781
103年 · #15781
102年 - 102 關務特種考試_三等_藥事:藥物分析與生藥學(包括中藥學)#52321
102年 · #52321
102年 - 102 公務升官等考試_薦任_藥事:藥物分析與生藥學(包括中藥學)#43725
102年 · #43725