所屬科目:港務局◆電機機械與自動控制
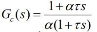
4.一領先補償器(lead compensator)之轉移函數為其中α與 均為正數且α >1。若期望取得至少 30 度之相位補償則α之值應至少為何?
5.考慮一個供應鏈描繪,如圖,農場 #1 每天接收一個數量為 u 的蘋果, 它會將 70%的蘋果提供給大盤商#2,而 20%的蘋果則被浪費掉。大盤商 #2 丟棄 10%的蘋果,並將 70%的蘋果給商店 #3。商店 #3 將 80%的蘋 果賣掉,並將沒賣掉的蘋果的 10%退還給大盤商#2。 請將商店 #3 所儲存的蘋果視為一個系統的輸出。提供一個供應鏈的狀 態空間表示式(A;B;C;D)。請研究系統的穩定性。(提示:令狀態變數表示 蘋果分別在農場、盤商、商店處理的數量。)