所屬科目:研究所、轉學考(插大)◆氣候變遷與災害
(一)生態足跡(Ecological Footprint)
(二)多樣性(Diversity)
(三)片利共生(Commensalism)
(四)國家環境政策法案(Act, NEPA)
(五)仙台減災綱領(Sendai Framework for Disaster Risk Reduction)
二、請以臺灣的都市化為例子,說明永續發展的重要性。
三、請解釋何謂極端氣候(extreme weather)?並試論氣候變遷與極端氣候之關係,以及根據風災、水災、坡地災害、旱災等四個面向,說 明極端氣候對於這四個面向的影響。
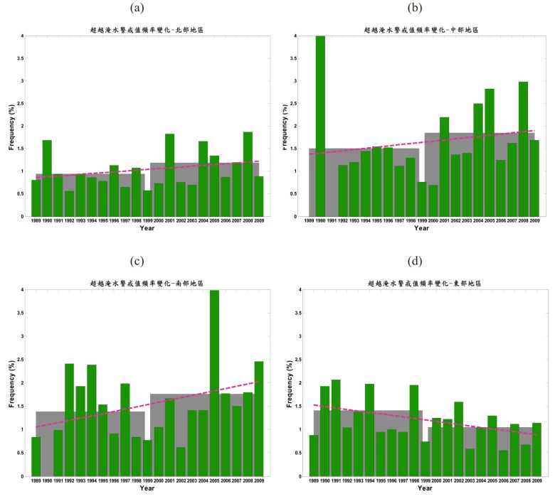
四、請觀察附圖臺灣北、中、南、東四個地區超越淹水警戒值頻率變化趨勢,解釋與說明附圖所觀察到的現象,並討論此四個地區分別該如何因應災害與調適。圖:1989-2009 臺灣地區分區日降雨量超過淹水警戒值發生機率。(a)北區、(b)中區、(c)南區、(d)東區,柱狀圖為當年發生淹水平均機率變化,底灰色為前十年與後十年之平均值,虛線為一次迴歸趨勢線。(資料來源:臺灣氣候變遷科學報告,2011)