阿摩線上測驗
登入
首頁
>
儀器分析
> 107年 - 107 地特三等 儀器分析#73476
107年 - 107 地特三等 儀器分析#73476
科目:
儀器分析 |
年份:
107年 |
選擇題數:
0 |
申論題數:
11
試卷資訊
所屬科目:
儀器分析
選擇題 (0)
申論題 (11)
⑴置於圓錐形燒瓶內某一混合物,是由 6 毫升的矽膠(silica gel)及含 有 100 毫克的非揮發性化合物的 40 毫升溶劑(溶液狀態)組成。攪 拌後,混合物讓其靜置,隨後再取出 10 毫升用量,並使其蒸發至乾 燥狀態。最後所測得的殘留物重量為 12 毫克。試計算在本實驗中的 吸附係數 K= ( C
S
/C
M
)。(8 分)
註:此處 C 為化合物的濃度,下標 S 及 M 分別代表固定相及流動相。
⑵化合物的滯留因子(retention factor)或稱容量因子(capacity factor), k 的定義為 k = mS /mM,即化合物在平衡時於兩相中,包括固定相 (S)及流動相(M)的質量比值。試證明,在給定的相對應層析 圖之資料中,吾人所使用的表示式:k = (tR – tM)/tM與上述的定義,即 k = mS / mM相同。(8 分)
提示:對一個給定的化合物,滯留時間 tR,花用在流動相的時間 tM (hold-up or dead time),與花用在固定相的時間 tS,其關係式 如下:t
R
= t
M
+ t
S
⑶試計算兩化合物 1 與 2 間的分離因子(separation factor)或稱選擇 性因子(selectivity factor)α,其中化合物 1 與 2 的滯留體積分別為 6 毫升及 7 毫升。所使用管柱的怠體積(dead volume)為 1 毫升。(5 分) 試證分離因子α等於這兩個化合物的分配係數(或稱吸附係數)之比 值 K
2
/K
1
,t
R(1)
< t
R(2)
。(4 分)
⑴考慮薄膜的厚度,由表中的數據,利用線性迴歸法,對於 1 微米(μm) 的薄膜厚度,試決定出最佳直線 A
1030
/d = f
1
(% VA)。(6 分)
⑵試解釋為何聚乙烯(polyethylene,即-(CH2-CH2)m-鏈段)在 720 cm-1 的吸收峰可以選為內標準(internal standard)。(5 分) 其後,對這四種薄膜,先計算其 A
1030
/A
720
的吸收度比值,再決定出 最佳直線 A
1030
/A
720
= f
2
(% VA)。(6 分)
⑶使用上述兩種方法,計算一個未知 EVA 薄膜的醋酸乙烯酯含量(%VA) (已知 d = 90 μm, A
1030
= 0.7 及 A
720
= 1.54)。(8 分)
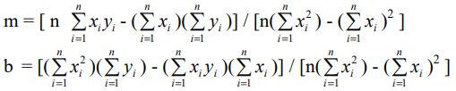
註:對於 n 組數據對(x
1
, y
1
), (x
2
, y
2
),…, (x
n
, y
n
),以線性迴歸法(最小 平方法)所得到的線性方程式為 y =
⑴試解釋為何在以 GF-AAS 分析骨骼樣品中的鉛元素時,可添加三價的 鑭離子 La
+3
,以抑制基材干擾(matrix interference)?(5 分)
⑵試問 GF-AAS 實驗中的溫度對時間之變化歷程(temperature profile) 為何?試解釋各不同加熱階段的目的。(10 分)
⑶配有 Zeeman 裝置(Zeeman device)的 GF-AAS 儀器,其目的在於背景 校正。試以示意圖說明如何利用 Zeeman effect 校正背景吸收?(10 分)
⑴試計算四個莫耳吸收係數(molar absorptivities):ε
A(272)
, ε
A(327)
, ε
B(272)
, ε
B(327)
。(12 分)
⑵試計算在未知樣品中兩種化合物 A 與 B 的莫耳濃度(molarities)。 (13 分)
相關試卷
115年 - 115 關務特種考試_三等_化學工程(選試英文):儀器分析#138815
115年 · #138815
114年 - 114 公務升官等考試_薦任_環境檢驗:儀器分析#133176
114年 · #133176
114年 - 114 高等考試_二級_衛生技術:儀器分析#131603
114年 · #131603
114年 - 114 司法、調查特種考試_三等_鑑識人員、化學鑑識組:儀器分析#130166
114年 · #130166
114年 - 114 關務特種考試_三等_化學工程(選試英文):儀器分析#126630
114年 · #126630
113年 - 113 調查特種考試_三等_化學鑑識組:儀器分析#122117
113年 · #122117
113年 - 113 關務特種考試_三等_化學工程(選試英文):儀器分析#119512
113年 · #119512
112年 - 112 地方政府特種考試_三等_化學工程:儀器分析#118384
112年 · #118384
112年 - 112 地方政府特種考試_三等_環境檢驗:儀器分析#118108
112年 · #118108
112年 - 112 地方政府特種考試_四等_環境檢驗:儀器分析概要#118102
112年 · #118102