所屬科目:儀器分析
(一)試推導方程式,以計算問題中(測量槽或薄膜)的路徑厚度。 (15 分)
(二)計算聚苯乙烯(polystyrene)薄膜的厚度,其紅外光(IR)圖譜如下所示(波數 2760與 2010 間的圖譜,特放大顯示) 。使用平均折射率 n = 1.59。 (10 分)
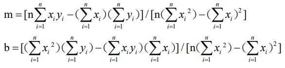
(一)利用最小平方法,由表中的所有 6 組數據,求算出檢量線的方程式(即(任意單位)與 C(奎寜濃度,以 g/L 為單位)的定量關係) 。(9 分)
(三)為何在定量分析中,我們比較偏好使用螢光光度計(fluorometer) ,而不是螢光分光光度計(spectrofluorometer)?(8 分) 註:對於 n 組數據對(x1, y1), (x2, y2), … , ,以線性迴歸法(最小平方法)所得到的線性方程式為 y = mx + b,其中直線的斜率 m 及 y 截距 b,可以下列算式求出: