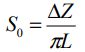
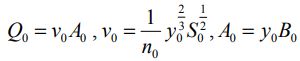
所屬科目:公職◆渠道水力學
⑴若曼寧 n0不變,則於原設計流量 Q0,新的直渠水深 y,將如何改變? 試以原水深 y0的倍數來表達。設甲至乙的距離為 2L,高程差為 ΔZ, 蜿蜒的自然渠道可視為兩個半圓周,渠道斷面可視為寬矩形。(5 分) 〔提示:蜿蜒渠長為 πL, ,水力半徑 R 可視為水深 y。〕