阿摩線上測驗
登入
首頁
>
技檢◆機械加工-丙級
> 107年 - 107-3 全國技術士技能檢定學科_丙級:18500機械加工#95920
107年 - 107-3 全國技術士技能檢定學科_丙級:18500機械加工#95920
科目:
技檢◆機械加工-丙級 |
年份:
107年 |
選擇題數:
80 |
申論題數:
0
試卷資訊
所屬科目:
技檢◆機械加工-丙級
選擇題 (80)
1. 請問下列何者「不是」個人資料保護法所定義的個人資料?(A)綽號(B)身分證號碼(C)護照號碼(D)最高學 歷。
2. 砂輪結合度的 A、B、C、D 的等級是表示(A)硬(B)極軟(C)軟(D)極硬。
3. 車削螺紋時,車刀刀角之中心線必須與(A)工件端面夾角 60 度(B)工件中心線平行(C)工件端夾角 30 度(D) 工件中心線垂直。
4. 氣壓缸之活塞桿與氣缸配合處漏氣的主要原因為(A)兩緩衝活塞密封件損壞(B)活塞速度過高(C)氣缸蓋 的密封環已損壞(D)活塞行程太大。
5. 銑床於銑削工作完畢後,應將柱膝(A)調至任意位置(B)盡量提高(C)盡量放低(D)調至中央。
6. 公司經理因個人財務一時周轉困難而挪用公司資金,事後感到良心不安又自行補回所挪用之金錢,是 否構成犯罪?(A)已返還即不構成任何犯罪(B)構成刑法之業務侵占罪(C)構成詐欺罪(D)構成竊盜罪。
7. 銼刀多以何種材料製成?(A)合金鋼(B)高碳鋼(C)中碳鋼(D)高速鋼。
8. 機件被一割面完全剖切的視圖稱為(A)全剖面視圖(B)局部剖面視圖(C)旋轉剖面視圖(D)半剖面視圖。
9. 依勞動基準法規定,雇主延長勞工之工作時間連同正常工作時間,每日不得超過多少小時?(A)12(B)10 (C)15(D)11。
10. 車床在使用後,必須執行的維護工作為(A)拆下夾頭(B)暖機(C)清潔及潤滑(D)調整。
11. 銑床虎鉗上敲緊工件,不可使用下列何種材質之手錘?(A)鋁(B)銅(C)塑膠(D)鋼。
12. 下列鋼尺的操作方式,何者正確(A)可用來量測垂直度(B)可分辨出 0.1 ㎜之尺寸(C)量測尺寸時,視線須 垂直尺面(D)尺端受損不影響量測。
13. 純鐵在室溫下所觀察到的顯微組織為(A)肥粒鐵(B)波來鐵(C)麻田散鐵(D)沃斯田鐵。
14. 拆卸過盈配合之齒輪,使用下列何種器具?(A)螺絲起子(B)手錘(C)齒輪拔取器(D)扳手。
15. 平板上不可放置(A)劃線台(B)V 形枕(C)尺台(D)手錘。
16. 腳踏車鏈輪上用的鏈條是(A)栓接鏈條(B)滾子鏈條(C)塊狀鏈條(D)套環鏈條。
17. 銑床床柱內部為空心體,其材質一般為(A)鑄鐵(B)鋁合金(C)中碳鋼(D)高碳鋼。
18. 磨鑽頭時,宜用何種規具檢查其鑽唇角度與切邊長度?(A)鑽頭規(B)直角規(C)游標卡尺(D)角度儀。
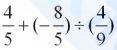
19. 求
= (A)
(B)
(C)
(D)
20. 車削外圓時,下列條件何者錯誤?(A)車刀有後斜角(B)刀尖與中心同高(C)使用碳化物刀具(D)車刀有負前 間隙角。
21. 切深與進給不變時,車刀的側刃角加大,則下列何者正確?(A)切屑變薄(B)刀具壽命變短(C)刀刃溫度變 高(D)切削變厚。
22. 鋼為鐵與碳的合金,其含碳量範圍為(A)2.0 ~ 4.0%(B)0.2 ~ 2.0%(C)0.02 ~ 2.0 %(D)0.02 %以下。
23. 銑床銑削斜面的方法,下列何者不適宜?(A)傾斜銑床頭(B)傾斜床台(C)傾斜虎鉗(D)傾斜工件。
24. 攻製〝M16×2.0〞螺紋,鑽削孔徑宜為(A)12 公厘(B)15 公厘(C)14 公厘(D)13 公厘。
25. 一般桶裝瓦斯(液化石油氣)主要成分為
及丁烷。(A)丙烷(B)乙炔(C)甲烷(D)辛烷
26. 一對嚙合之齒輪,主動輪齒數 36 齒、轉速 1800 rpm,若被動輪轉速為 2700 rpm,則其齒數為(A)48 齒(B)18 齒(C)32 齒(D)24 齒。
27. 銑床作橫向進給銑削主要是移動(A)床鞍(B)床架(C)柱膝(D)床台。
28. 圓形螺絲鏌開槽之作用(A)增加彈性(B)利於製作(C)微量調整直徑(D)方便取下。
29. 帶鋸機的鋸條成捲包裝,每捲長度多少公尺?(A)50(B)30(C)100(D)80。
30. 依廢棄物清理法之規定,隨地吐檳榔汁、檳榔渣者,應接受幾小時之戒檳班講習?(A)4 小時(B)2 小時 (C)8 小時(D)6 小時。
31. 下列何者不會構成政府採購法之刑責?(A)過失使開標發生不正確結果者(B)合意使廠商不為投標或不 為價格之競爭者(C)專案管理廠商洩漏關於採購應秘密之資訊(D)借用他人名義或證件投標者。
32. 一般手弓鋸條之材質為(A)碳化物(B)中碳鋼(C)高碳工具鋼(D)鑄鋼。
33. 輸入的程式或資料存於電腦之(A)監視器(B)記憶體(C)中央處理器(D)控制器。
34. 最常用的手工鉸刀材料為(A)鑄鋼(B)鎢碳鋼(C)低碳鋼(D)高碳工具鋼。
35. 一般工件須使用平頂埋頭螺釘時,要鑽(A)圓坑孔(B)柱坑孔(C)魚眼孔(D)錐坑孔。
36. 不當抬舉導致肌肉骨骼傷害,或工作臺/椅高度不適導致肌肉疲勞之現象,可稱之為下列何者?(A)感 電事件(B)被撞事件(C)不安全環境(D)不當動作。
37. 進出電梯時應以下列何者為宜?(A)可同時進出(B)爭先恐後無妨(C)外面的人先進去,裡面的人才出來(D) 裡面的人先出,外面的人再進入。
38. 銑削工作中所謂逆銑法是銑刀迴轉方向和進給方向(A)視銑刀材質而定(B)相反(C)可相同亦可相反(D)相 同。
39. 下列何種油類適用於銑床防銹保養?(A)酒精(B)柴油(C)去漬油(D)機油。
40. 下列量具何者可調整歸零(A)分厘卡(B)角尺(C)鋼尺(D)卡鉗。
41. 在車床床軌上塗上機油,並使刀具溜座在縱向往復移動,其主要目的是(A)使床軌平均磨損(B)防止床軌 變形(C)潤滑床軌及刀具溜座的滑動面(D)測試移動空間。
42.
左圖所示的投影法為(A)第一角(B)第四角(C)第二角(D)第三角 投影法。
43. 每個人日常生活皆會產生垃圾,下列何種處理垃圾的觀念與方式是不正確的?(A)廚餘回收堆肥後製成 肥料(B)可燃性垃圾經焚化燃燒可有效減少垃圾體積(C)所有垃圾皆掩埋處理,垃圾將會自然分解(D)垃圾 分類,使資源回收再利用。
44. 下列有關工作場所安全衛生之敘述何者有誤?(A)事業單位應備置足夠的零食自動販賣機(B)對於勞工 從事其身體或衣著有被污染之虞之特殊作業時,應置備該勞工洗眼、洗澡、漱口、更衣、洗濯等設備 (C)勞工應定期接受健康檢查(D)事業單位應備置足夠急救藥品及器材。
45. 下列何種加工方法,其加工刀痕為同心圓?(A)鉗工(B)鉋工(C)銑工(D)車工。
46. 車削軟鋼宜選用的切削劑是(A)黃油(B)調水油(C)煤油(D)機油。
47. 品質管制的主要目標應是(A)持續不斷的改善品質(B)減少製造人員(C)減少品管人員(D)改善製造成本。
48. 車削大直徑工件端面,若主軸轉數不變,其內、外側之切削速度(A)為固定值無相關(B)差異甚小(C)無差 異(D)差異甚大。
49. 下列何者不是影響產品品質變異的主因?(A)作業員(B)製程(C)顧客(D)材料。
50. 柱膝式銑床床台可作幾個方向進給?(A)2 個(B)3 個(C)4 個(D)1 個。
51. 銑床虎鉗鉗口護片常用之材質為(A)厚紙板(B)鋁或銅(C)淬硬過的合金鋼(D)木片。
52. 下列何者為天然磨料?(A)碳化硼(B)氧化鋯(C)氧化鋁(D)剛玉。
53. 銑床工場地面若油污過多,可使用下列何者清除?(A)焦碳(B)木屑(C)水泥(D)拖把。
54. 車床踩剎車後,主軸無法立即停止轉動,剎車放開時,主軸又恢復轉動,可能原因為(A)剎車微動開關 失靈(B)剎車帶斷裂(C)剎車帶太鬆(D)剎車來令片磨損。
55. 銑床計算主軸每分鐘迴轉數的公式〝N=1000V/πD〞中,〝D〞的單位是(A)英吋(B)公厘(C)公分(D)公尺。
56. 下列之車刀材質何者的切削速度最慢?(A)陶瓷(B)高碳工具鋼(C)高速鋼(D)碳化物。
57. 如果你是業務員,公司主管希望你要擴大業績,向某 A 公司推銷,你的親友剛好是某 A 公司的採購 人員,你應該:(A)表面上表示不參與,但是暗中幫忙(B)給親友壓力,請他幫忙採購,最後共同平分紅 利(C)向主管報備,應該不要參與自己公司與某 A 公司的採購過程(D)躲起來,不要接此案件。
58. 下列何者不屬於空氣依特性分類的種類(A)標準狀態空氣(B)正常狀態空氣(C)自由空氣(D)乾燥空氣。
59. 使三角皮帶鬆開而變換砲塔式銑床主軸轉數,應移動下列何者?(A)床台(B)主軸頭(C)馬達座(D)床鞍。
60. 車床牙標之主要用途為(A)指示螺紋的深度(B)指示車削工件長度(C)檢查車刀角度(D)指示車刀切入工件 之位置。
61. 要鉸削 8 公厘的孔徑,要鑽多大的孔?(A)7.8 公厘(B)7.6 公厘(C)8 公厘(D)7.5 公厘。
62. 下列何者不是銑床規格的表示法(A)主軸孔錐度(B)床台的縱向移動距離(C)可裝銑刀之數量(D)銑床刀軸 的大小。
63. 輥花工作,下列敘述何者錯誤?(A)工件直徑增大(B)工件直徑減小(C)需注入切削劑(D)尾座頂心支持工件。
64. 斜角較大的車刀,適合車削下列何種材質?(A)鋁(B)中碳鋼(C)鑄鐵(D)銅。
65. 手弓鋸鋸割薄鋼板,發生推不動現象,其原因可能為(A)鋸條太厚(B)鋸條裝太緊(C)使用 32 齒鋸條(D)使用 14 齒鋸條。
66. 銑削工作中所謂順銑法是銑刀迴轉方向和進給方向(A)相同(B)視銑刀材質而定(C)相反(D)可相同亦可相 反。
67. 虎鉗的規格是以下列何種方式表示?(A)虎鉗寬度(B)虎鉗長度(C)鉗口寬度(D)虎鉗高度。
68. 銼刀的銼齒硬度須在多少以上?(A)HRC37(B)HRC62(C)不須考慮硬度(D)HRC45。
69. 陳先生到機車行換機油時,發現機車行老闆將廢機油直接倒入路旁的排水溝,請問這樣的行為是違反了(A)道路交通管理處罰條例(B)廢棄物清理法(C)飲用水管理條例(D)職業安全衛生法。
70. 溫室氣體減量及管理法所稱主管機關,在中央為下列何單位?(A)衛生福利部(B)國家發展委員會(C)行政 院環境保護署(D)經濟部能源局。
71. "P"類碳化物刀具適用於何種材料切削?(A)鑄鐵(B)不銹鋼(C)碳鋼(D)黃銅。
72. 「度」是水費的計量單位,你知道一度水的容量大約有多少?(A)2,000 公升(B)1 立方公尺的水量(C)3 立 方公尺的水量(D)3000 個 600cc 的寶特瓶。
73. 萬能銑床的主要特色是下列何者可水平轉動角度?(A)床台(B)床柱(C)床鞍(D)主軸頭。
74. 下列何者非省能的做法?(A)電視機勿背著窗戶或面對窗戶,並避免太陽直射(B)汽車不行駛短程,較短 程旅運應儘量搭乘公車、騎單車或步行(C)影印機當 15 分鐘無人使用時,自動進入省電模式(D)電冰箱 溫度長時間調在強冷或急冷。
75. 蔴花鑽頭又稱為(A)階級鑽頭(B)直槽鑽頭(C)扭轉鑽頭(D)中心鑽頭。
76. 下列何者不是自來水消毒採用的方式?(A)加入氯氣(B)加入臭氧(C)加入二氧化碳(D)紫外線消毒。
77. 立式帶鋸機鋸條長度為多少公厘(D 表示導輪直徑,C 表示兩導輪中心距)?(A)πD+C(B)πD+2C(C)πD+2C-25(D)πD+C -25。
78. 下列何種鍵僅依靠磨擦力來傳送動力,僅適用於極輕負荷之傳動?(A)平鍵(B)鞍鍵(C)切線鍵(D)方鍵。
79. 銑削加工,其進給速率之單位為(A)公厘/每分鐘(B)轉數/每秒鐘(C)公尺/每分鐘(D)轉數/每分鐘。
80. 使用劃線台要輕易的畫出垂直線條,可利用(A)標準尺(B)標準塊規(C)V 形枕(D)標準角規。
申論題 (0)
相關試卷
115年 - 18500 機械加工 丙級 工作項目 08:機具維護 1-14(2026/01/06 更新)#136254
115年 · #136254
115年 - 18500 機械加工 丙級 工作項目 07:故障察覺 1-14(2026/01/06 更新)#136253
115年 · #136253
115年 - 18500 機械加工 丙級 工作項目 06:機械製作與修配 1-19(2026/01/06 更新)#136252
115年 · #136252
115年 - 18500 機械加工 丙級 工作項目 05:刀具研磨 1-63(2026/01/06 更新)#136251
115年 · #136251
115年 - 18500 機械加工 丙級 工作項目 04:機具操作 251-271(2026/01/06 更新)#136250
115年 · #136250
115年 - 18500 機械加工 丙級 工作項目 04:機具操作 201-250(2026/01/06 更新)#136249
115年 · #136249
115年 - 18500 機械加工 丙級 工作項目 04:機具操作 151-200(2026/01/06 更新)#136248
115年 · #136248
115年 - 18500 機械加工 丙級 工作項目 04:機具操作 101-150(2026/01/06 更新)#136247
115年 · #136247
115年 - 18500 機械加工 丙級 工作項目 04:機具操作 51-100(2026/01/06 更新)#136246
115年 · #136246
115年 - 18500 機械加工 丙級 工作項目 04:機具操作 1-50(2026/01/06 更新)#136245
115年 · #136245