所屬科目:教甄◆數學
29. 已知 y=f(x) 的圖形如 則以下哪個函數的圖形如下? (A) y=f(x-2) (B) y=f(x+2) (C) y=f(x)-2 (D) y=f(x)+2
36. 若32x+9=10(3x),則x2+1= (A)1 (B)2 (C)5 (D)1或5
38.將三張相同的正方形色紙(大小如甲圖),分別用剪刀以垂直或水平 方向剪出乙、丙、丁三個圖: 問剪出的圖形中何者的周長最長? (A) 乙圖 (B) 丙圖 (C) 丁圖 (D) 都一樣長
42.某單位針對國內大學生打工原因,調查結果以百分比表示如下: 依據這些資料,下列敘述何者最為適切? (A) 用來繪製折線圖 (B) 用來繪製直方圖 (C) 用長條圖顯示打工原因的人數 (D) 用圓形圖顯示打工原因的比例
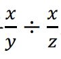
43.設x、y、z付表由 1、2、3、4、5、6、7、8 等八個數字中選出的三 個相異數字,使得 為最小值時,其y + z之值為何? (A) 5 (B) 9 (C) 15 (D) 57
45.有一∆ABC,AB > AC。分別以AB和AC為邊長向外做正方形,如下圖: 下列敘述何者正確? (A) PC < QB (B) PC = QB (C) PC > QB (D) PC與QB的大小關係不固定
50.有一組合圖形,其中每一個四邊形都為正方形、每一個三角形都為 直角三角形,如下圖: 若正方形甲的面積為 1,則所有正方形(含甲)的面積和為多少? (A) 3 (B) 4 (C) 5 (D) 6