所屬科目:教甄◆數學
12.? (A) ∞ (B) 0 (C) (D)
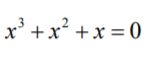
13. 若 w是方程式 之一非0根,則的值 為? (A) w (B) 1 (C) −1 (D) − w
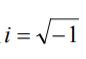
14. 設,則 (A) i (B) (C) (D)
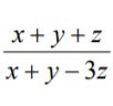
15. 設 xyz ≠ 0,且3xy = 5yz = 7zx,則 =? (A) 5 (B) 4 (C) 3 (D) 2
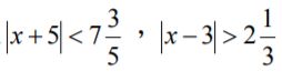
17. 設 x為整數,且 ,求所有 x的和是? (A) -65 (B) -78 (C) -77 (D) -64
20. 已知多項式 f (x)且deg f (x) ≥ 3,以 x +1,x −1除之其餘式分 別為3,− 2,則以(x +1)(x −1)除 f (x)之餘式為 (A) (B) (C) (D)
24. 設 = (2,4) , = (5,m) , = (6,4) , = (n,−3) ,若 // 且 ⊥ ,則m + n = ? (A) 12 (B) -2 (C) 8 (D) 2