所屬科目:1.電路學 2.電子學
一、由一個二極體串接一個電阻器形成一個傳統的半波整流器,如果考慮二極 體的切入電壓,傳統的半波整流器的二極體要換上超級二極體才能消除切 入電壓產生的誤差,請詳細說明換上超級二極體以消除切入電壓產生的誤 差之原理。此外,若以下圖之電路來作為半波整流器,請說明其操作原理, 同時說明此電路和前述包含超級二極體之半波整流器比較,其優點為何? (25 分)
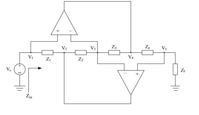
二、試以迴路分析法求解下面運算放大器電路的輸入阻抗。(25 分)
三、試設計一個沒有實功率耗損的阻抗轉換器,將一個阻抗為 5000∠ − 60° Ω 轉換為1160∠ 30° Ω 。(25 分)
四、試分析下圖的電晶體電路,並說明此電路如何用作頻率補償之用。(25 分)