所屬科目:技檢◆數位電子
1. 一電壓源v(t) = 8 + 6√2sin20t V,則其電壓(Vrms)有效值為何? (A) 5 V (B) 6 V (C) 8 V (D) 10 V
2. 一週期性脈波之頻率為2 kHz,若其高電位之寬度時間為0.2 ms,則其工作週期(Duty Cycle)為何? (A) 20 % (B) 40 % (C) 60 % (D) 80 %
3. 已知矽原子在室溫下(約300K)之能隙(Energy Gap)為1.11eV,則其價電子由價帶脫 離至傳導帶大約需要多少焦耳的能量? (A) 1.11 J (B) 3.7 × 10−15 J (C) 1.78 × 10−19 J (D) 1.06 × 10−19 J
4. 如圖(一)所示之電路,假設D1與D2為理想二極體,則V1為何?
(A) 3 V (B) 4.5 V (C) 5 V (D) 6 V
5.如圖(二)所示之電路,假設稽納二極體(Zener Diode)之崩潰電壓為4V,求其消耗功 率為何?
(A) 14 mW (B) 16 mW (C) 20 mW (D) 24 mW
6. 下列各種顏色之LED,何者之波長最短? (A) 紅色 (B) 黃色 (C) 綠色 (D) 藍色
7. 已知有一整流濾波電路,其漣波因素為0.5%,濾波後之平均電壓值為20V,則其漣 波電壓之有效值為何? (A) 1 V (B) 0.5 V (C) 0.1 V (D) 0.05 V
8. 箝位電路(Clamper)的主要功用為何? (A) 整流 (B) 濾波 (C) 改變直流準位 (D) 波形整形
9. 如圖(三)所示之電路,當RE電阻值增加時,則電壓增益vo/vi與輸入阻抗Ri將分別如何改變?
(A) 增加;增加 (B) 增加;減少 (C) 減少;減少 (D) 減少;增加
10. 如圖(四)所示之電路,假設雙極性電晶體(BJT)之參數為β=99,VBE= 0.7V, VCE(sat) = 0.2V,求其靜態工作點的電流IC為何?
(A) 1.3 mA (B) 2.1 mA (C) 7.4 mA (D) 8.3 mA
11. 已知一放大器具有輸入阻抗Ri= 10 kW,輸出阻抗Ro= 0.5 kW,且開路電壓增益 Avo= 100 V/V,則此電路之短路電流增益Ais為何? (A) 2000 A/A (B) 1000 A/A (C) 500 A/A (D) 200 A/A
12. 一分壓式雙極性電晶體(BJT)放大電路,若直流工作點ICQ之偏壓設計使其值變大時, 其交流互導(Transconductance) gm和交流等效輸出阻抗ro將分別有何改變? (A) gm變大;ro變大 (B) gm變大;ro變小 (C) gm變小;ro變大 (D) gm變小; ro變小
13. 達靈頓對(Darlington Pair)放大器可視為何種類型之串級放大器? (A) 電阻耦合 (B) RC 耦合 (C) 變壓器耦合 (D) 直接耦合
14. 某一單級放大器具有低頻截止頻率fL和高頻截止頻率fH,則當兩個這樣的放大器串接起來形成一串級放大器時,則此串級放大器之低頻截止頻率fL′和高頻截止頻率fH′ 與原先之截止頻率關係為何? (A) fL ′ > fL;fH ′ > fH (B) fL ′ > fL;fH ′ < fH (C) fL ′ < fL;fH ′ > fH (D) fL ′ < fL; fH ′ < fH
15. 一P 通道增強型MOSFET 之導通電流ID= 4 mA,若將其通道長度增加2 倍,且通 道寬度縮減為原來的0.5 倍,則導通電流ID將變成? (A) 16 mA (B) 8 mA (C) 4 mA (D) 1 mA
16. 如圖(五)所示之電路,假設JFET 之夾止電壓VG(p) = -2 V,夾止飽和電流IDss= 16 mA,求此電路導通電流ID和閘源極電壓VGS為何?
(A) ID= 4 mA,VGS= −1 V (B) ID= 4 mA,VGS= 1 V (C) ID= 1 mA,VGS= −2 V (D) ID= 1 mA,VGS= 2 V
17. 如圖(六)所示之理想的運算放大器電路,求Vo/Vi為何?
(A) 2 (B) 3 (C) 4 (D) 5
18. 對一個由理想的運算放大器所組成之電壓隨耦器(Voltage Follower)而言,下列敘述 何者為非? (A) 電壓增益為1 (B) 無回授電阻 (C) 輸入阻抗很低 (D) 輸出阻抗趨於0
19. 一般而言,若想要得到一個重複的方波信號,可採用下列何種電路來產生? (A) 雙穩態多諧振盪電路 (B) 單穩態多諧振盪電路 (C) 無穩態多諧振盪電路 (D) 考畢子振盪電路
20. 如圖(七)所示為一韋恩電橋振盪器(Wien-Bridge Oscillator),假設R1 = 2 kW,R2 = 4 kW,R= 1 kW,C= 10 nF,則其振盪頻率為何?
(A) 15.9 kHz (B) 7.95 kHz (C) 3.98 kHz (D) 1.59 kHz
21. 一條導線在0.4 秒內流過25×1018 個電子,則電流為多少安培? (A) 10 A (B) 6.25 A (C) 5.5 A (D) 5.25 A
22. 有一500W 電熱線,若將其長度減少50%,所加的電壓不變,則其所消耗的電功率 變為如何? (A) 250W (B) 500W (C) 570W (D) 1000W
23. 一個100uF 電容器接於10V 電源,若以0.01A 之電流充電,此電容充滿電壓所需時 間為何? (A) 0.1 秒 (B) 0.2 秒 (C) 0.25 秒 (D) 0.5 秒
24. 如圖(八)電路所示,其電容器皆為10 uF,求總電容量為何?
(A) 3.33 uF (B) 5 uF (C) 6.67 uF (D) 7.48 uF
25. 如圖(八)電路所示,求C3 電荷量為何?
(A) 333 微庫倫 (B) 33.3 微庫倫 (C) 3.33 微庫倫 (D) 0.333 微庫倫
26. 一個1 亨利之電感器,通過1 安培之電流,求此電感器所儲存之能量為若干焦耳? (A) 0.1 J (B) 0.5 J (C) 1 J (D) 10 J
27. 一個電池若接上10Ω負載,則電池的端電壓為10V,若接5負載時,則電池的端電壓為8V,求電池之內阻為何? (A) 0.8 Ω (B) 1.2 Ω (C) 2.5 Ω (D) 3.33 Ω
28. 如圖(九)電路所示,求A、B 兩端的電壓VAB 為何?
(A) 30 V (B) 30.3 V (C) 60 V (D) 60.6 V
29. 如圖(十)電路所示,求R2 電阻所消耗的電功率為何?
(A) 4 W (B) 6 W (C) 8 W (D) 10 W
30. 有一Y 型電阻網路,每邊電阻均為3Ω,若化為等效之△型電阻網路,則任一臂之電 阻值為何? (A) 3 Ω (B) 6 Ω (C) 9 Ω (D) 12 Ω
31. 有兩個交流信號,其頻率相同為60 Hz,其相位差90,則此兩個信號之時差為何? (A) 4.17 毫秒 (B) 5.21 毫秒 (C) 12.52 毫秒 (D) 24.10 毫秒
32. 一個電路的電壓及電流的波形為v(t) = 10 sin(ωt -20°),i(t) = 10 cos(ωt + 10°),其相 位關係如何? (A) 電壓領前電流120° (B) 電壓落後電流120° (C) 電壓領前電流30° (D) 電 壓領前電流30°
33. 一正弦波電壓其峰對峰值電壓為300 V,其有效值為何? (A) 212 V (B) 125 V (C) 116 V (D) 106 V
34. 一個電流i(t)= 5 sin (2000t + 30°)流經10 uF之電容器,試求該電容兩端的電壓為何? (A) 250 sin (2000t - 60°) V (B) 10 sin (2000t - 60°) V (C) 250 sin (2000t +120°) V (D) 10 sin (2000t+120°) V
35. 試求圖(十一)所示RC 電路之時間常數為何?
(A) 1.5 (B) 15 (C) 12.5 (D) 2.5
36. 如圖(十一)所示電路,當開關S 閉合瞬間,總電流I 之值為何?
(A) 16.7 uA (B) 1.67 uA (C) 33.3 uA (D) 3.3 uA
37. 若v(t) = 10 cos(100t + 25°),i(t) = 10 cos(100t + 70°),求功率因數為何? (A) 0.33 (B) 0.5 (C) 0.707 (D) 0.8
38. 如圖(十二)電路所示,其總電阻為何?
(A) 100∠53° Ω (B) 50∠53° Ω (C) 50∠45° Ω (D) 100∠45° Ω
39. 如圖(十二)電路所示,其總電流為何?
(A) 1∠53°A (B) 0.5∠53° A (C) 0.5∠-45° A (D) 1∠-53° A
40. 一個串聯RLC 電路,電阻為10Ω,電感為10mH,電容為10uF,求其品質因數為何? (A) √2 (B) √10 (C)0.5 √10 (D) 2 √10
41. 一個四選一的多工器,若輸入線有m 條,控制線有n 條,則m+n 之最小值為何? (A) 4 (B) 6 (C) 8 (D) 12。
42. 在數位邏輯閘中,TTL 之電源電壓範圍為何? (A) 0.2~1.25V (B) 3~5V (C) 3.75~7.5V (D) 4.75~5.25V。
43. 試化簡 至最簡型式。 (A) (B) (C)(D) 。
44. 如圖(十三)所示之電路,試問等效於何種邏輯閘?
(A) (B) (C) (D)
45. 若欲設計一個半減器,請輸入為x(被減數)與y(減數),輸出為C(借位)與D(差),則 下列何者邏輯電路可滿足需求? (A) (B) (C) (D)
46. 試求(0.0110)2 之二補數為何? (A) 0.1101 (B) 0.1001 (C) 0.1010 (D) 1.1001。
47. 考慮一邏輯閘由低電位變為高電位的延遲時間tPLH=4ns,由高電位變為低電位的延遲時間tPHL=6ns,則該邏輯閘之平均傳播延遲時間為何? (A) 2ns (B) 5ns (C) 10ns (D) 12ns。
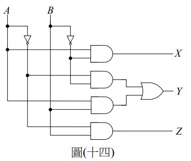
48. 如圖(十四)所示之電路具有兩輸入A 與B,經運算後可得三輸出X、Y 與Z。分析其 電路,試問該電路可對輸入A、B 做為何種用途?
(A) 編碼器 (B) 解碼器 (C) 多工器 (D) 比較器。
49. 若欲設計一個Mode 10 的同步上數計數器,則至少需要幾個正反器? (A) 2 (B) 3 (C) 4 (D) 8。
50. 若有一個JK 正反器,原輸出Q=0,則下列J、K 與Q 之邏輯狀態何者有誤? (A) 000 (B) 010 (C) 111 (D) 100。