所屬科目:統測◆05化工群◆化工原理(基礎化工、化工裝置)
2. 反應物A以每小時10莫耳輸入連續絕熱反應器中,進行 A(g) →2 B(g) 的分解反應,A進入 反應器的溫度為 298 K。當反應達到穩定狀態時,出料溫度維持在 498 K,若該反應在 298K時的莫耳反應熱為 - 20 1 kJ● mol ,則A的轉化率為多少%? ( 已知 A 和 B 的平均定壓莫耳熱容量分別為和 ,假設 反應器無加熱、無冷卻及無熱損失,莫耳反應熱與溫度無關 )(A) 30 (B) 35 (C) 40 (D) 45
3. 已知二氧化碳在溫度77° C及絕對壓力570mmHg下,可視為理想氣體,求在此條件下該 氣體的密度為多少 mg● L-1 ?(氣體常數)(A) 556 (B) 732 (C) 956 (D) 1150
4. 有一 0.5 L 的密閉容器,裝有溫度為 127 ℃ 的二氧化碳 22 公克,若該氣體遵守凡得瓦 狀態方程式,其絕對壓力為多少 atm? ( 二氧化碳的凡得瓦常數) (A) 3.0 (B) 30.7 (C) 32.8 (D) 34.3
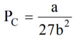
5. 已知 A 、B 、C 、D 四種氣體均遵守凡得瓦狀態方程式, 且其臨界壓力 ( PC ) 、臨界溫度 ( TC ) 和臨界莫耳體積 ( ) 與凡得瓦常數( a 、b )分別都有 、 和= 3 b 的函數關係。表(一)為四種氣體的臨界溫度和臨界 壓力值,則氣體間的臨界莫耳體積大小關係,下列何者 正確?( R為氣體常數)(A) A>B>C>D (B) B>D>A>C (C) C>D>B>A (D) D>C>A>B
7. 將半徑0.015 cm 的毛細管插入A液體(密度0.90 g● cm -3 )中,A在毛細管內的上升高度為 4.00 cm ;若將同一支毛細管插入 B液體(密度0.80 g ●cm-3 )中,B在毛細管內的上升高度 變為 3.60 cm。已知 B 液體的表面張力為 24.0dyne● cm-1 ,A 液體的表面張力為多少 dyne● cm -1 ?(假設液體A與B在管壁上的接觸角都為0°,g為重力加速度980cm● s -2 ) (A) 30.0 (B) 24.3 (C) 23.7 (D) 19.2
9. 下列有關鑽石的敘述,何者正確? (A) 鍵結軌域為 sp2 (B) 鍵角為109.5 °(C) 碳原子之配位數為3 (D) 碳原子形成六元環結構
10. 下列有關界面現象的敘述,何者正確? (A) 液體在固體上的接觸角接近180 °時,表示液體可完全潤濕固體表面 (B) 如果液體會在固體表面形成一薄膜,這是因為液體與固體間的附著力大於液體分子 間的內聚力 (C) 肥皂可以增加液體的表面張力,使得水和油之間分離 (D) A的表面張力為72.75dyne● cm -1,B的表面張力為 ,A和B間的界面 張力之測定值為 ,因此A和B兩者可以互溶
17. 2 莫耳單原子理想氣體於 300 K 下,由 5 atm 可逆恆溫膨脹至 2 atm,其內能變化量 ( △U ) 為A焦耳,膨脹過程之熱量( q )為B焦耳,則(A+B)為多少焦耳?( ln 2.5=0.92 ) (A) - 10825 (B) 0 (C) 4589 (D) 10825
20. 若A轉化為B(反應式:A→B)之反應速率常數為0.2,則5 M之A反應 10 分鐘生成 x M 之 B;若 B 轉化為 C ( 反應 式 :B→C ) 之反應速率常數為 0.05,則xM之B經過10分鐘反應後,C之生成濃度為多少M? (假設反應體積固定) (A) 0.2 (B) 0.4 (C) 1.0 (D) 1.2
21. 在密閉容器內,理想氣體A於300K下進行零級反應,反應速率常數為2 , 若氣體A初壓為2.46atm,則半生期為多少分鐘? (A) 0.025 (B) 0.05 (C) 0.1 (D) 0.2
23. 在管線儀器流程圖中,需使用下列何種儀器符號,表示安裝於「現場的傳送器」? (A) (B) (C) (D)
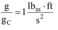
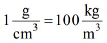
第二部份:化工裝置 ( 第 26 至 50 題,每題 2 分,共 50 分 )26. 下列有關單位轉換等式,何者正確?( 1 kg=2.2 lbm ,1m=3.28 ft=39.4 in) (A) (B) (C) (D)
27. 有兩根相同管長不同直徑的水平圓管 ( 管 1 和管 2 ) ,將水各別輸送流過兩根圓管時,其 進出口壓力降相等,假設摩擦係數相同,並忽略管子之入口及出口效應以及入口摩擦 損失。若 兩 根 圓 管 直 徑 的關 係 為 D1 =1.5D2 , 則 此 時 流 經 兩 管 之 水 流 體 積 流 率 ( 、 ) 的關係,下列何者正確?( 1.50.5 =1.225 ) (A) (B) (C) (D)
28. 圖 ( 二 ) 為 5 個水平截面為圓的開放式容器,各容器垂直高度相同,皆裝滿水放置於平台 上。容器 a,d,e 為水平截面積均一的柱體,b,c 為體積及形狀相同但互為倒置的錐狀 柱體,且底面積大小關係為b>a=c=d>e,若忽略容器重量,則各容器作用於平台接觸面 之平均壓力的關係,下列何者正確?(平均壓力=流體重力/容器與平台接觸面積) (A) a至e皆相同 (B) b>c (C) d>b (D) e<a
29. 有一上方為密閉且底部有一水平圓形排水管之水槽, 如圖(三)所示。若排水管之內徑為5cm,排水口低於 水槽液面 10 m,水槽液面上方空氣之絕對壓力為 2 大氣壓,假設不計摩擦損失,且排水時儲水槽 液面下降可忽略,求此時排水口排至大氣(1大氣壓) 之水流平均流速約為多少m ●s - 1 ? (水的密度為 ,1大氣壓=101325 Pa) (A) 20 (B) 22 (C) 24 (D) 26
31. 下列有關流體流量量測裝置的敘述,何者正確? (A) 孔口流量計為一種面積式流量計 (B) 浮子流量計為一種差壓式流量計 (C) 一皮托管(計)安裝於一內徑300mm直管之管中心處,若讀出之壓力差為2000Pa且直管中 流體密度為 ,皮托管係數(流量係數)為1,則管中心流體之流速為(D) 同一流體流經一孔口流量計,若壓差變為原來的2倍,且放洩(流量)係數為定值, 則管中流量為原流量的2倍
32. 一圓直管,內半徑和外半徑分別為a和2 a, 管外包覆一層厚度為2a的保溫材料,如圖(四) 所示。當達熱傳穩定時,管內壁、管外壁 及保溫材料外表面之溫度分別為 100 °C 、 75 °C 及 25 °C,則管子和保溫材料之熱傳導 係數為何?(A) 2 : 1 (B) 1 : 1 (C) 1 : 2 (D) 2 : ln 2
35. 一雙套管熱交換器,熱流體為水蒸汽,入口和出口溫度皆為 125 °C,20 °C 冷水以質量流率 為 ω 流入此熱交換器,出口溫度為 40 °C ,因流體溫度變化不大,可以算數平均溫度差取代 對數平均溫差來計算熱流速率。若20℃冷水質量流率變成2 ω ,假設總括傳熱係數和冷水 比熱維持不變,水蒸汽入口和出口溫度皆保持為125 °C,則冷水出口溫度為多少 °C ? ( 算數平均溫度差=(水蒸汽入出口溫度和 - 冷水入出口溫度和)/2 ) (A) 29.5 (B) 30 (C) 30.5 (D) 60
36. 某生由文獻查得純水和 30 wt % NaOH 水溶液在不同壓力下的沸點,如表(二) 所示,根據杜林法則,表中30wt%NaOH 水溶液在55.6 kPa下的沸點約為多少℃? (A) 98 (B) 99 (C) 100 (D) 101
38. 在A-B二成分系中,若A對B的相對揮發度 大於 1,則 A 為輕成分,B 為重成分, 圖 ( 五 ) 為乙醇-水共沸混合物的氣液平衡 關係示意圖,下列敘述何者正確? (A) 當 xA < xA * 時,水是輕成分;當 時,乙醇是輕成分 (B) 無論組成為何,乙醇都是輕成分 (C) 當 時,乙醇是輕成分;當 時,水是輕成分 (D) 無論組成為何,水都是輕成分
43. 100公升的水中含有80公克碘,利用150公升四氯化碳進行一次萃取,萃取後,若100公升 水萃餘相含有10公克碘,則碘對四氯化碳與水的分配係數 ()為何? (A) 3.33 (B) 3.67 (C) 4.33 (D) 4.67
44. 將空氣加熱,再以冷水噴淋入空氣 ( 絕熱冷卻 ) ,然後再加熱此空氣。 此空氣調節過程中,在圖 ( 六 ) 濕度圖 之路徑為何? (A) II → IV → III → I (B) II → III →IV → I (C) I → IV → III → II (D) I → III →IV → II