所屬科目:研究所、轉學考(插大)-微積分
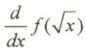
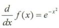
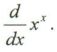
(a)(6%) Let . Find ,where x>0.
(c) (7%) Find
(b) (7%) Find ∇f(1,-2), the gradient of f(x,y) at(1,-2).
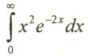
(a)(8%)
(b)(7%)
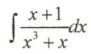
(c) (8%) , where R is the region bounded by y=x2 and y=.
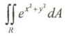
(d)(7%) ,where R={(x)R2Ix2+y2≤1} .