所屬科目:研究所、轉學考(插大)-微積分
1. Evaluate the limit .
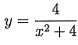
2.
3. Find the volume of the solid obtained by rotating about the x-axis the region enclosed by the curves , y = 0, x = 0, and = 2.
4.Find the absolute maximum value of f(x,y) = (x2 + 2y2) on the set D,where D is the disk x2 + y² ≤ 4.
5. Suppose z = f(x,y), where x = g(s,t), y = h(s, t), g(1,2) = 3, gs(1,2) = -1,gt(1,2) =4, h(1,2) = 6, h(1, 2) = -5, h(1,2) = 10, fa(3, 6) = 7, and fy(3,6) =8. Find Əz/Os when s = 1 and t = 2.
6. Find the directional derivative of the function at the point x2+y2 P(1,2) in the direction of v = (3, 4).
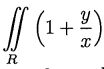
7. Evaluate the integral f dA, where R is the region enclosed by the lines x +y = 1, x + y = 3, y = 2x, and y = x/2.
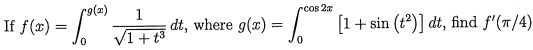
8.Find the average value of the function dt on the interval (0, 2).
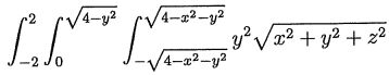
9. Evaluate the integral dzdxdy.
10. Evaluate .dr, where F(x, y) = and C is the triangle from (0,0) to (1,1) to (0,1) to (0, 0).