所屬科目:教甄◆數學
1. 設 ,將此三數由大至小排成一列為 (A)A>C>B (B)B>C>A (C)C>A>B (D)C>B>A。
06. 長方形每邊增加 後的面積為原來的 (A) (B) (C) (D)
11. 設,則= (A)3 (B)5 (C)11.2 (D)16.2
14. 若 ,且 f (3x -1) = g(x +1),則g(2) = (A)8 (B)9 (C)10 (D)11
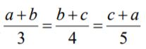
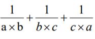
17. 若abc≠ 0,且 ,則a : b : c = (A)1:2:3 (B)2:1:3 (C)3:2:1 (D)3:1:2
18. 若正 n 邊形每一內角度數是正 4n 邊形每一內角度數的倍,則 n= (A)4 (B)6 (C)8 (D)10
20. 已知一多項式 f (x) 被除的餘式為3x + 8,問 f (x) 被 x -1除時, 餘式為何? (A) x + 5 (B)5 (C)8 (D)11
21. 根據行政院主計處的資料,某年某月份全台灣人口失業率為 4.16%。若該失業率 以最簡分數 表示,則下列何者為真? (A)a=26、b=625 (B) a=52、b=625 (C) a=26、b=1250 (D) a=52、b=1250
22. 下列何者不是 x12 -1 的因式? (A) (B) (C)(D)
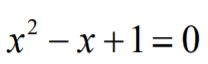
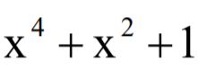
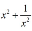
23. 若,則 =? (A)-1 (B)1 (C)3 (D)-3
24. 在直角坐標平面上有三點 A(0,1),B(-2,0),C(1,0),則點 B 到直線的距離為 何? (A) (B) (C)0 (D)