所屬科目:專科學力鑑定◆專(一):初級統計
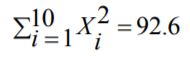
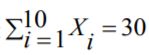
5. 隨機抽樣 10 位剛畢業的社會新鮮人來調查薪資水準,設 X 為薪資水準 ( 單位:萬元 ) , Xi 為 第 i 位 新 鮮 人 薪 資水 準 , 10 位 新 鮮 人的 薪 資 平 方 項 合 計為 92.6 萬 ,即 是;而 10 位新鮮人的薪資合計為 30 萬,即是 萬,請問 10 位 社會新鮮人的薪資標準差為: (A) 0.260 (B) 0.2889 (C) 0.5099 (D) 0.5375
9. ,下列何者錯誤? (A) (B) (C) (D)
11. 設兩個獨立隨機變數 X 與 Y,X 與 Y 的變異數皆為 4,即是 V( X) 4 = ,V (Y ) 4 = ,令 ,請問W的變異數為何? (A) 8 (B) 32 (C) 64 (D) 136
12. 設隨機變數X的機率分配函數為,請問X的變異數為何? (A) 1 (B) 2 (C) 3 (D) 4
17. 假設每天在國道 3 高速公路發生車禍的件數服從卜瓦松分配 ( Poisson ) ,每天平均有 2 件 車禍發生,請問在國道3高速公路上每天最多發生一次車禍的機率近似值為何? 註: (A) 0.1353 (B) 0.2706 (C) 0.3679 (D) 0.4059
18. 假設X為一連續隨機變數,a < X < b,令C為介於a~b之間的常數,下列何者正確? (A) P(X=C)=0.5 (B) P(X > C)=1 - P(X=C) (C) E(X)=1 (D) P(X ≤ C)=P(X < C)
19. 某地區通訊業者表示,由以往資料獲悉每月客戶通訊費用服從常態分配,且具有平均 費用為400元,標準差為80元,試問用戶通訊費用小於320元的機率為何? 註: (A) 0.1056 (B) 0.1587 (C) 0.3413 (D) 0.3944
20. 一網路零售業在倉庫貯存流行的玩具,並於每週決定該貯存多少個玩具。假設「每週的 玩具需求量」來自平均數為 250 個與標準差為 30 個的常態分配,如果零售業希望沒有 庫存的機率不超過5%,則倉庫該貯存多少個玩具? 註:(A) 250 (B) 280 (C) 300 (D) 310
22. 設隨機變數 X 的機率密度函數為 ,X 的期望值為 ,即是 ,試問 a b, =? (A) (B) (C) (D)
23. 玩具工廠員工體重呈現平均值為 60 公斤,標準差為 10 公斤的常態分配,工廠裡的電梯 最多只能容納 16 人,當電梯搭乘 16 人時,警鈴會大響的機率為 1 %,請問電梯安全負重 應該設為多少? 註 (A) 1,011公斤 (B) 1,053公斤 (C) 1,165公斤 (D) 1,332公斤
24. 設隨機變數 X 服從常態分配 ( normal distribution ) ,X 的期望值為 5、標準差為 3,即是。另外,隨機變數 Y也服從常態分配,Y的期望值為 10、標準差為 4,即是 。請問的機率,即? 註: (A) 0.6225 (B) 0.8729 (C) 0.9452 (D) 0.9987
26. 欲調查某所大學學生每週平均打工收入是多少,從一個對 10 位大學生之事前小調查, 得到樣本標準差是 550 元,在 95% 的信賴水準下,若希望估計誤差以不超過 150 元為 原則。則抽樣調查所需要的最經濟樣本數應是多少? 註:(A) 37 (B) 40 (C) 52 (D) 100
27. 某校有學生 3,000 人,隨機抽取 300 人為樣本,發現其中有 180 人近視。試據此推論該校 近視學生比例之90%信賴區間為何? 註: (A) (0.4, 0.6 ) (B) ( 0.572, 0.628 ) (C) (0.553, 0.646 ) (D) ( 0.545, 0.655 )
28. 某市政府想要調查會來該市民宿的旅客比例。現在估計有 40 % 的旅客會選擇民宿過夜, 使用90 %的信賴區間,並在估計誤差為 5 %條件下,計算所需抽取之最經濟的旅客數量 為何? 註: (A) 260 (B) 271 (C) 323 (D) 385
31. 某公司在全台設有經銷店面,公司為了增加汽車銷售量,而設計出一種紅利計畫。目前 每個月平均的汽車銷售量為14輛車,經銷商想研究此一紅利計畫是否真的會增加銷售量, 因此於紅利計畫執行後一個月,抽出該公司 15 個經銷地點的銷售資料作為樣本資料。 請問此研究之虛無假設與對立假設為何? (A) H0:μ ≤ 15 vs.H1:μ > 15 (B) H0:μ ≥ 14 vs.H1:μ < 14 (C) H0:μ ≥ 15 vs.H1:μ < 15 (D) H0:μ ≤ 14 vs.H1:μ > 14
32. 某一輪胎製造商宣稱其所生產的輪胎可行駛超過 5 萬公里。已知這種輪胎可行駛的里程數 為常態分配,且母體標準差為 5,000 公里。今測試 25 個輪胎,得其平均行駛里程數為 49,000 公里,試問在對立假設為「輪胎可行駛小於 5 萬公里」的情況下,假設檢定的 P值 為何? 註: (A) 0.1587 (B) 0.3413 (C) 0.4772 (D) 0.8413
38. 小芳欲檢定以下假設: H0:μ ≤ 100 vs.H1:μ > 100 假設母體呈現常態分配,母體標準差為 24。在顯著水準與樣本數 n = 36 的情況下,當 真實的母體平均數為108時,試問此檢定的型II誤差的機率為何? 註: (A) 0.3613 (B) 0.4738 (C) 0.5000 (D) 0.6536
39. 某一塑身美容醫師有 3 種不同的塑身處方,她隨機挑選 15 位病患,每種處方分別試用於 其中的 5 位病患。三週後她記錄每位病患所減重的磅數。她想檢定 3 種處方是否在減重 效果上有差異。如表(一)是她尚未完成的ANOVA表,請問這張ANOVA表的F值為何? (A) 5.77 (B) 9.82 (C) 11.63 (D) 13.51
41. 某公司欲調查「零件品質」與「三個生產班次」的關係,以下為隨機抽取之樣本資料, 並將收集到的數據如表(二)呈現。欲以 Pearson 卡方統計量檢定「零件品質」與「生產 班次」是否相互獨立,則此檢定樣本之卡方值為何? (A) 5.99 (B) 65.57 (C) 75.17 (D) 285.86
42. 科大電子公司的生產部門想要了解「組裝線員工數量(X)」與「產量(Y)」之間的關係。 他們指派2位員工進行產品組裝,可在一小時內組裝15件產品;接著再指派4位員工進行 組裝,可在一小時內組裝25件。連續收集5筆樣本資料如表(三)所示。並用最小平方法 求得迴歸方程式的截距為 3,斜率(slope )為7,請問當X = 3時,Y的平均值為何? (A) 10 (B) 21 (C) 24 (D) 30
47. 請問機率 P( 擔任主管| 性別=女 )=? (A) 0.6 (B) 0.4 (C) 0.5 (D) 0.2