所屬科目:國營事業◆1.環境管理與空污防制 2.水處理技術
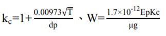
三、利用平行板式靜電集塵器去除粒徑 0.1 μm 粒狀物,其電場強度 500 KV/m,氣體流量 1,200 m3 /min,氣體溫度 95 ℃,氣體黏度為 2.25×10-5 kg/m-s,若去除率達 96 %,試 問總集塵板面積應為多少(計算至小數點後第 2 位,以下四捨五入)(10 分)?當集塵 板高 6 m、長 4 m 時,需多少片集塵板(10 分)? 相關公式: