所屬科目:國營事業◆1.環境管理與空污防制 2.水處理技術
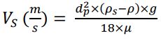
(三)該水池為理想水平層流狀態,此時有 5 種不同粒徑顆粒進入此沉澱池,其重量分布比 例為 30%、20%、10%、20%、20%,沉降速度依序為 0.1 mm/s、0.4 mm/s、0.6 mm/s、 0.8 mm/s、0.9 mm/s,(顆粒密度為 1.8 g/cm3,黏滯係數為 1.1×10-3 Pa‧s) (計算至小數點後第 2 位,以下四捨五入) 相關公式:請問: (1)各不同顆粒之粒徑大小為何?