阿摩線上測驗
登入
首頁
>
藥理學與藥物化學
> 108年 - 108 高等考試_三級_藥事:藥理學與藥物化學#77663
108年 - 108 高等考試_三級_藥事:藥理學與藥物化學#77663
科目:
藥理學與藥物化學 |
年份:
108年 |
選擇題數:
0 |
申論題數:
18
試卷資訊
所屬科目:
藥理學與藥物化學
選擇題 (0)
申論題 (18)
⑴寫出此藥物的主要臨床用途。(6 分)
⑵寫出此藥物臨床用途的作用機制。(8 分)
⑶請以化學觀點,說明結構上 hydroxamate 基團之作用。 (6 分)
⑴說明使用 NaN3 之目的,並用化學反應式描述 NDMA 產生的可能原 因。(12 分)
⑵說明結構內 tetrazole 基團之角色與藥物設計優點。(8 分)
⑴請試述兩者之分子作用機制。(6 分)
⑵請解釋為何使用低劑量 Aspirin 即可達到預防再栓塞作用。(4 分) 代號:27950 頁次:2-2
⑴試述此藥物降低膽固醇之作用機制。(8 分)
⑵指出此藥物最重要之藥效基團。 (3 分)
⑶說明此類藥物常見之副作用與處置。(4 分)
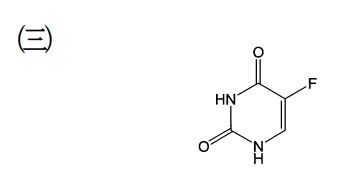
⑴請敘述其藥物作用機制。(6 分)
⑵其主要副作用為何?(4 分)
⑴請敘述此藥物之作用機制。(4 分)
⑵請畫出此藥物之活性態結構。(5 分)
相關試卷
115年 - 115 關務特種考試_三等_藥事(選試英文):藥理學與藥物化學#138922
115年 · #138922
114年 - 114 高等考試_三級_藥事:藥理學與藥物化學#128497
114年 · #128497
114年 - 114 關務特種考試_三等_藥事(選試英文):藥理學與藥物化學#126560
114年 · #126560
113年 - 113 高等考試_三級_藥事:藥理學與藥物化學#121257
113年 · #121257
113年 - 113 關務特種考試_三等_藥事(選試英文):藥理學與藥物化學#119458
113年 · #119458
112年 - 112 公務升官等考試_薦任_藥事:藥理學與藥物化學#117130
112年 · #117130
112年 - 112 高等考試_三級_藥事:藥理學與藥物化學#115547
112年 · #115547
112年 - 112 關務特種考試_三等_藥事:藥理學與藥物化學#113877
112年 · #113877
111年 - 111 高等考試_三級_藥事:藥理學與藥物化學#109661
111年 · #109661
111年 - 111 關務特種考試_三等_藥事:藥理學與藥物化學#107544
111年 · #107544