所屬科目:教甄◆高雄文史
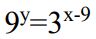
43. 設 且 ,則 x + y =? (A) 21 (B) 24 (C) 27 (D) 28
44. 若 a-b>b-c>a-c,則 a、b、c 三數的大小關係為何? (A) c>a>b (B) c>b>a (C) b>a>c (D) a>c>b
45. 若多項式 A 為 x 的二次多項式、多項式 B 為 x 的三次多項式,則下列敘述何者 為真 ? (A) A + B的和為 x 的五次多項式 (B) B − A 的差為 x 的一次多項式 (C) A × B的積為 x 的六次多項式 (D) B ÷ A的商為 x 的一次多項式
46. 果園裡種了 30 棵蘋果樹,平均每棵年產 400 個蘋果;若在此果園中每加種 一棵蘋果樹,平均每棵年產量會減少 10 個,則應種多少棵蘋果樹才能使年 產量最多﹖ (A) 25 棵 (B) 35 棵 (C) 45 棵 (D) 55 棵
47. 已知一弦把圓周分成兩弧,其中一弧的度數為另一弧的 1.5 倍,則此弦所對 的圓心角是幾度? (A) 72 度 (B) 108 度 (C) 144 度 (D) 216 度
48. 某公園有四個不同的進出口,如果媽媽早上去公園運動,則她從不同一口進 出的方法有幾種﹖ (A) 6 種 (B) 12 種 (C) 16 種 (D) 24 種
49. 將自然數依序寫出如下的算式:
第 1 個算式:1+2 = 3
第 2 個算式:4+5+6=7+8
第 3 個算式:9+10+11+12 =13+14+15
按照此規律繼續寫下去的第 10 個算式之等號左側的數字總和是多少? (A) 1025 (B) 1050 (C) 1155 (D) 1250
50. 從整數 0 到 9 這 10 個數字中,選出 3 個數字排成三位數,這些三位數中恰 好能被 5 整除的數共有幾個? (A) 72 (B) 136 (C) 144 (D) 216 個
51. 設三角形之三邊長為 A,B,C,且 A≤B<C,則 B=5 的三角形共有多少個? (A) 5 (B) 10 (C) 15 (D) 20
52. 若實數 a,b,c,d 皆不為 0,且 a:b = c:d,下列敘述何者 錯誤 ? (A) ad = bc (B) a:d = b:c (C) (a+b):b = (c+d):d (D) 1
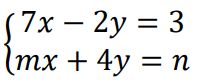
53. 若二元一次聯立方程式 有無限多組解,則m + n =? (A) 20 (B) 10 (C) -10 (D) -20
54. 行列式之值為? (A) -37 (B) -17 (C) -13 (D) 7
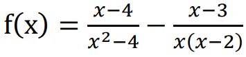
55. 設 ,試求之值? (A) (B) (C) (D)
56. 自 1 到 1000 這一千個正整數中,不論除以,或除以 ,或除以 ,都還 是整數者共有多少個? (A)2 (B) 3 (C) 41 (D) 83
57. 如圖,已知四邊形 ABCD,小博欲利用尺規作圖的方法, 在四邊形 ABCD 中找出一點 P,使得 P 點到 A、D 兩點 等距離,而且 P 點到 兩線段也要等距離,則小博所使用的尺規作圖方法是下列何者?
(A) 過線上一點作垂線與角平分線的尺規作圖 (B) 過線上一點作垂線與過線外一點作垂線的尺規作圖 (C) 垂直平分線與過線外一點作垂線的尺規作圖 (D) 角平分線與垂直平分線的尺規作圖
58. 已知 a>b>c,且 a+b+c=0,則下列何者可能是函數 y=ax2+bx+c 的圖 形? (A)(B)(C)(D)
59. 如圖為正四角錐的展開圖,若將其摺合成立體圖形後, 正四角錐頂點至底面的垂直距離為多少 cm?
(A) 5 (B) 4 (C)7 (D)28
60. 在△ABC 與△DEF 中, ,∠B=∠E,∠C=53°,若△ABC 與△DEF 不全等,則∠F=? (A) 51° (B) 53° (C) 127° (D) 129°