所屬科目:機械原理(機械概論、大意)
2. [ ] 如圖所示之滑車組,若F = 80N,則可吊起重物W為 (A)300 N (B)400 N (C)480 N (D)720 N。
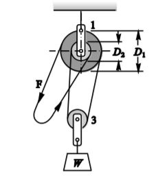
3. [ ] 一惠斯頓差動滑車,若以 30 公斤的作用力 F 吊起 1200 公斤之負載 W,則固定軸上之大輪直徑 D1與小輪直徑 D2比為 (A)0.95 (B)1 (C)1.05 (D)1.2。
15. [ ] 如圖所示之彈簧組合,若K 代表彈簧常數,且,則總彈簧常數應為若干 N/cm? (A)4 (B)8 (C)25 (D)40。
30. [ ] 如圖所示之輪系,A 輪齒數為 25 齒,B 輪齒數為 40 齒,內齒輪 C 之 齒數為 100 齒,若 A 輪轉速為順時針方向 300rpm,則 C 輪之轉向及 轉速為多少 rpm? (A)順時針方向 40rpm (B)逆時針方向 40rpm (C)逆時針方向 75rpm (D)順時針方向 75rpm。
34. [ ] 如圖示,橫座標表示凸輪以等角速率轉動之角度,縱座標表示從動 件之位移,線段 abcd 表示凸輪運動時從動件之軌跡,則下列敘述 何者正確? (A)在 ab 段從動件為等速運動 (B)在 bc 段從動件 為等速運動 (C)在 cd 段從動件為等減速運動 (D)在一循環中從 動運動平穩無振動發生。
41. [ ] 如圖之差動滑車,定滑輪上之 D1=8 公分,D2=6 公分,機械效率 70%, 若施力 50 公斤,則可拉起重物若干公斤? (A)75 (B)280 (C)300 (D)320。
45. [ ] 如圖所示,若 W=120kg,則 F 須出力若干才可拉動?(A)104kg (B)60kg (C)45kg (D)30kg。
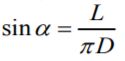
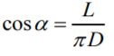
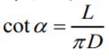
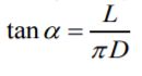
46. [ ] 螺桿直徑為 D,螺旋之導程角為α,導程為 L,則下列關係何者正確? (A) (B) (C) (D)
50. [ ] 如圖所示之帶制動器,其中,鼓輪直徑為 40 cm,a=20 cm,b = 50 cm,若轉動時扭矩為 500N-cm,且 F1 / F2 = 2,則停止轉動需施力 P 為若干 N? (A)20 (B)10 (C)6 (D)25 。