所屬科目:技檢◆室內配線(屋內線路裝修)-乙級
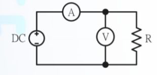
7. 下圖所示之接線是以伏特計與安培計測量負載直流電功率,為防止儀表之負載效應,減少誤差, 下列敘述何者正確?(A)與負載電阻高低無關(B)不論量測負載電阻大小之電功率時,均可採用之接 線(C)為量測低電阻負載之電功率時,所採用之接線(D)為量測高電阻負載之電功率時,所採用之接 線。
17. 三相三線(3ψ3W )式之線間電壓降為(A)IL (Rcosθ+Xsinθ )(B) IL (Rcosθ+Xsinθ )(C)2IL(Rcos θ+Xsinθ )(D) IL (Rcosθ+Xsinθ )。
30. 下圖所示符號為屋內配線設計圖之(A)三相 Y 非接地(B)三相曲折接法(C)三相 T 接線(D)三相 V 非接地。
31. 下圖所示符號為屋內配線設計圖之(A)負載啟斷開關(B)拉出型電力斷路器(C)拉出型氣斷路器(D)電力 熔絲。
47. 電動機銘牌上所註明的電流係指(A)無載電流(B)滿載電流(C)半載電流(D) 滿載電流。
49. 左圖所示符號為屋內配線設計圖之(A)瞬時過流電驛(B)低電壓電驛(C)過壓電驛(D)過流電驛。
60. 線電流為 10A 之平衡三相三線式負載系統,以鉤式(夾式)電流表任鉤其中二線量測電流時,其值為多少 A?(A)0(B)10√3(C)10(D)30。
79. 下列哪些為屋內配線設計圖之配線類設計圖符號?(A) (B)S(C) (D) 。