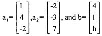
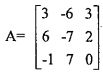
18. (5%) Which of the following statement is True? (A) If A is a 3 ✖ 3 matrix, then det 5A=5 det A. (B) If A3=0 ,then det A =0. (C) Ifu and v are in R2 and det[ u v]=10, then the area of the triangle in the plane with verices a at 0, u, v is 10. (D) IfA isn xn and det A=2, then det A3=6 . (E) Any system ofn linear equations in n variables can be solved by Cramer's rule.