所屬科目:勞動部勞動力發展署◆職前訓練班
9.(A)85 (B)68 (C)90 (D)100
10. (A)3 (B)4 (C)3/7 (D)713
11. (A)10,13 (B)8,11 (C)12,9 (D)7,8
14.(A)7 (B)8 (C)9 (D)10
16.若則=(A)154218 (B)061812 (C)061218 (D)180612
17.請選出下圖的平面旋轉圖(非翻轉) (A) (B) (C) (D)
18.請選出下圖的平面旋轉區(非翻轉)(A) (B) (C) (D)
19.請選出下圖的折合屋(A) (B) (C) (D)
20.請選出下圖經空間雙位後之圖形(A) (B) (C) (D)
21.請選出下圖經空間變位後之圖形(A) (B) (C) (D)
22.請算下圖有幾個方塊?(A)78(B)80 (C)82(D)84
23.下圖有幾個三角形?(A)24(B)22(C)18(D)26
24.請選出左圖的展開圖 (A) (B) (C) (D)
25.請觀察下圖,選出下一個可能的圖 (A) (B) (C) (D)
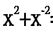
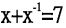
30.已知x>0・若,則=?(A)51(B)49 (C)47 (D)45
32.若f(x)=3x-2,則f(1)+f(2)+f(3)+...+f(20)=?(A)298 (B)590 (C)600(D)620
33.若f(x)為x之m次多項式,g(x)為x之n次多項式,則下列何者正確? (A)f(x)+g(x)的次數為m+n(B)f(x)+g(x)的次數為mn (C)f(x)·g(x)的次數為mn(D)f(x).g(x)的次數m+n
34.下列那行列式之值不為0: (A)(B) (C)(D)
36.如圖,在△ABC中:∠ABC=90°,AB=6,AC=10圓O為△ABC 的內切圓,則下列何者正確? (A)∠AOC=138° (B)圓O的面積=8π (C)△BOC的面積=8 (D)△AOB的面積=16
37.如圖,△ABC、△ADE中,C、D兩點分在相交於F點· 若,∠ADC+∠ACD=114°, ∠DFC的度數為何? (A) 147 (B) 132 (C) 123 (D) 114
38.三角形周長12公分,此三角形面積最大為多少平方公分? (A)(B) (C) (D)
40.如下圖,A、B分別為y=x2上的兩點,且AB垂直Y軸。 若AB=6則直線AB的方程式為:(A)y=3 (B)y=6 (C)y=9 (D)y=36
43.下列何者是在敘述物理性? (A)鎂金屬容易被氧化(B)水的點是100℃ (C)硫酸水溶液成酸性(D)鈉金屬容易燃燒
50.下列伏特計的使用,何者使用正確? (A)(B)(C)(D)