阿摩線上測驗
登入
首頁
>
研究所、轉學考(插大)◆工程數學
> 109年 - 109 國立宜蘭大學_碩士班招生考試_土木工程學系碩士班甲組:工程數學#103098
109年 - 109 國立宜蘭大學_碩士班招生考試_土木工程學系碩士班甲組:工程數學#103098
科目:
研究所、轉學考(插大)◆工程數學 |
年份:
109年 |
選擇題數:
0 |
申論題數:
6
試卷資訊
所屬科目:
研究所、轉學考(插大)◆工程數學
選擇題 (0)
申論題 (6)
1.
,求解 y(x) (20%)
2. 現有一 Cauchy-Euler 方程式: x
2
y" − 2xy′ − 4y = 2x
4
,求解 y(x) (20%)
(1)求解 A 的特徵值與特徵向量 (10%)
(2)以對角化求解 A 的相似矩陣 D (10%)
(3)以相似矩陣 D 求解 A
5
(10%)
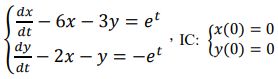
4.
,求解x(t)及y(t) (30%)
相關試卷
110年 - 110 國立中央大學_碩士班招生考試_機械工程學系、機械工程學系(光機電工程)、能源工程研究所_(共同):工程數學#125285
110年 · #125285
110年 - 110 國立臺灣大學_碩士班招生考試_部分系所:工程數學(A)#125255
110年 · #125255
110年 - 110 台灣聯合大學系統_碩士班招生考試_電機科:工程數學(C)#125211
110年 · #125211
110年 - 110 台灣聯合大學_碩士班招生_電機類:工程數學C#124898
110年 · #124898
110年 - 台聯大_工程數學B#113346
110年 · #113346
110年 - 110 國立臺灣科技大學_碩士班招生試題_材料科學與工程系(乙組):工程數學#113288
110年 · #113288
110年 - 110 國立台北科技大學碩士班招生考試_自動化科技研究所:工程數學#111318
110年 · #111318
110年 - 110 國立臺灣大學_碩士班招生考試_部分系所:工程數學(D)(含線性代數、機率與統計)#111303
110年 · #111303
110年 - 110 台灣聯合大學系統碩士班招生考試_電機類:工程數學A#110408
110年 · #110408
110年 - 110 國立臺北科技大學_碩士班招生考試_機械工程系機電整合碩士班:工程數學#107430
110年 · #107430