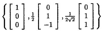
9. (5%) Which of the following sets is an orthonormal basis for the designated vector space?
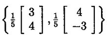
(A)
, for R2 with (x,y) -xTy.
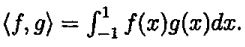
(B) {cosz,sin x},for C[0,2π] with (f,g) =
f(x)g(x)dx.
(C) {1,x,x2] for P3with
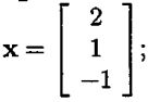
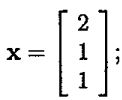
(D)
for R3 with (x,y)=xTMy where M =
(E) None of the above.