所屬科目:研究所、轉學考(插大)◆工程數學
2.假設 ABC 平面上一點 E, OE ⊥ ABC 平面,請求出 E 的座標? (10%)
3.請求出外積運算的向量(10%)
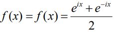
三、有一複數函數請繪出函數 f (x)的變化情形(當-2π ≤ x ≤ 2π)。(10%)
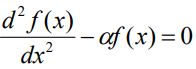
四、有一微分方程式,假設起始條件 f (x=0)=0,求微分方程式的解。(20%)
五、一直角座標系(x,y)的曲線 x2+y2=a ,若換以極座標系統(r,θ)表示為何?(10%)
六、請求出(10%)