所屬科目:技檢◆測量-丙級
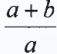
15. 地球參考橢球體之長軸半徑為 a,短軸半徑為 b,則扁率為(A) (B) (C) (D) 。
61. 地圖上之" "記號表示(A)房屋(B)水溝(C)小橋(D)道路。
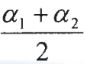
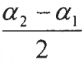
80. 觀測垂直角(俯仰角)時,儀器為象限式度盤,α1 表正鏡測得之垂直角,α2 表倒鏡測得之垂直角,若此儀器垂直度盤有指標差,則等於 之絕對值。(A)a1+a2 (B) (C) (D)a2-a1