所屬科目:高中(學測,指考)◆自然
3. 下 列 選 項 中 橢 圓 為 行 星 繞 太 陽 的 軌 道, O 點代表 橢 圓 的中心, F 點 代表橢圓 的 焦 點, P 、 Q 兩點處 箭 號 與 其 長 度 分 別 代 表 行 星 在 該 處 的 速 度 方 向 與 量 值。哪 一 個 選項中的 圖 最 接 近 實 際 的 情 況 ?( 選 項 A與 選 項 D圖 中 的 兩箭 號等長,選 項B、 選 項 C與 選 項 E圖 中 的 兩 箭 號 不 等 長 ) (A) (B) (C) (D) (E)
4. 三 個 點 電 荷 排 列 成 一 直 線,若 Q 為電量( Q > 0), R 為 點 電 荷 間 的 距 離,且 所 有 電 荷 皆 固 定 不 動,則 下 列 選 項 中,位 於 左 端 的 電 荷 所 受 到 靜 電 力 的合力 量 值 何 者 最大? (A) (B) (C) (D) (E)
5. 如 圖 1 所 示,P、Q 兩 點 分別連 接 到 電 壓 固 定 之 直 流 電 源 的 兩 電 極 處,Q、Y 兩 點 之 間 連 接 一 個 可 變 電 阻 器,X 點 可 在 Q、Y 兩 點 間 滑 動,固 定 不 動 的 螺 線 管 上 方 藉 由 塑 膠 彈 簧 垂 直 懸 掛 一 根 磁 棒。最 初 未 通 電 時 彈 簧 為靜止 狀 態,通 電 後 達 靜 力 平 衡 時,發 現 彈 簧 較 未 通 電 時 長。如 果 緩 緩 滑 動 X 點 至 另 一 位 置 後 停 下 , 當 彈 簧 再 度 達 靜 力 平 衡 後 , 彈 簧更加 伸 長 , 試 問 下 列 何 者 選 項 之 操 作 能 夠 與 觀 測 結 果 一 致 ? (A)P點 接 正 極 , Q點 接負極 , X點 向 Y點 滑 動 (B)P點 接 正 極 , Q點 接負極 , X點 向 Q點 滑 動 (C)P點 接 負 極 , Q點 接正極 , X點 向 Y點 滑 動 (D)P點 接 負 極 , Q點 接正極 , X點 向 Q點 滑 動 (E)彈 簧 是 否 伸 長 與 X點 的 滑 動 方 向 無 關
7. 進 行「 細 胞 形 態 的 觀 察 」探 討 活 動 時,若 將 顯 微 鏡 鏡 頭 對 準 觀 測 物 後,視 野 中 仍 一 片 空 白 , 應 先 調 整 圖 2 顯 微 鏡 的 何 處 才 有 助 於 看 見 觀 測 物 ? (A)甲 (B)乙 (C)丙 (D)丁 (E)戊
10. 選項中的 A~ E為 卵 巢 週 期 圖,X 軸 表 示 女 性 之 月 經 週 期( 約 28 天 ),從 第 1 天 算 起 , 第 15 天排卵 , 如 軸 下 之 示 意 圖 所 示 。 Y 軸 為 血 漿 中 雌 性 激 素 之 相 對 濃 度( 0~ 1)。圖 中 之 實 線 表 示 卵 巢 分 泌 動 情 素 之 週 期 變 化,而 虛 線 則 表 示 黃 體 素 之 週 期 變 化 。 下 列 變 化 曲 線 何 者 正 確 ? (A) (B) (C) (D) (E)
12. 下 面 哪 一 組 實 驗 裝 置 圖 符 合 氣 體 乙 製 備 ( 左 圖 ) 與 收 集 ( 右 圖 ) 的 方 法 ? (A) (B) (C) (D) (E)
14. 氨 氣 與 氧 氣 反 應 , 可 生 成 一 氧 化 氮 , 其 反 應 式 如 下 : ( 未平衡 ) 一 氧 化 氮 與 氧 氣 反 應 生 成 二 氧 化 氮 , 其 反 應 式 如 下 :( 未平衡 ) 若 分 別 將 此 二 化 學 反 應 式 平 衡,並 取 最 小 整 數,試 問 下 列 哪 一 數 字 不 會 是兩個平 衡 反 應 式 中 的 係 數 ? (A) 1 (B) 2 (C) 3 (D) 4 (E) 5
15. 在 5℃時,已 知 A(g) + 2 B(g) AB2 (g) 的 反 應 熱 為 △H1 ,且 B(g) + C(g) BC(g) 的反應 熱 為 △H2。在 相 同 溫 度 下 , 下 列 何 者 為A(g) + BC(g) →AB2 (g) + C(g) 的 反 應 熱? (A) (B) (C) (D) (E)
16. 下 列 表 格 中 , 哪 一 個 選 項 的 三 個 元 素 分 別 符 合 表 格 中 所 列 之 條 件 ? (A)(B)(C)(D)(E)
17. 某 些 離 子 的 半 徑 如 表 2 所 示( 單 位: 10 -10 m ),甲、乙、丙、丁 為 根 據 表 中 資 料 所 作 的 敘 述 或 推 論 , 下 列 哪 一 選 項 正 確 ? 甲 : 表 中 共 有 5個 離 子 的 核 外 電 子 數 為 18 乙 : 電 子 數 相 同 的 陽 離 子 , 原 子 序 愈 大 者 , 半 徑 愈 小 丙 : 具 相 同 電 子 排 列 的 陰 離 子 , 其 半 徑 隨 原 子 序 的 增 大 而 變 大 丁 : 同 一 族 的 離 子 , 當 電 荷 相 同 時 , 其 半 徑 隨 原 子 序 的 增 大 而 變 大 (A)甲 乙 (B)丙 丁 (C)甲 丙 (D)乙 丁 (E)甲 丁
18. 法 國 數 學 家 帕 斯 卡 利 用 兩 支 相 似 的 水 銀 氣 壓 計,將 一 支 帶 到 多 姆 山 的 山 頂,一 支 留 在 山 腳 下,發 現 山 頂 的 氣 壓 計 高 度 比 山 腳 下 的 低 了 7.6 公 分。假 設 山 腳 下 的 氣 壓 為 一 大 氣 壓( 約 1013 百 帕 ),氣 溫 約 20℃, 試 由 圖 4 判 斷 多 姆 山 高 度 及 山 頂 的 氣 溫 分 別 為 多 少 ? ( 平 均 溫 度 遞 減 率 為 每 上 升 100 公 尺 下 降 0.65℃) (A)約 500公 尺 高 , 山 頂 氣 溫 約 15.0℃ (B)約 500公 尺 高 , 山 頂 氣 溫 約 17.5℃ (C)約 1000公 尺 高 , 山 頂 氣 溫 約 10.0℃ (D)約 1000公 尺 高 , 山 頂 氣 溫 約 13.5℃ (E)約 1500公 尺 高 , 山 頂 氣 溫 約 10.0℃
21. 圖 6 是 1991 年 至 2012 年 間 發 生 在 臺 灣 周 遭 規 模 大 於 4.0 的 震 源 分 布 圖,從 此 圖 可 推 測 臺 灣 的 板 塊 構 造,下 列 有 關 臺 灣 板 塊 構 造 的 敘 述 哪 一 項 正 確 ? (A)歐 亞 板 塊 和 菲 律 賓 海 板 塊 僅 相 互 錯 動 (B)在 臺 灣 東 北 部 外 海 , 菲 律 賓 海 板 塊 向 北 逆 衝 到 歐 亞 板 塊 上 方 (C)在 臺 灣 東 北 部 外 海 , 歐 亞 板 塊 向 南 隱 沒 到 菲 律 賓 海 板 塊 下 方 (D)在 臺 灣 南 半 部 , 歐 亞 板 塊 向 東 逆 衝 到 菲 律 賓 海 板 塊 上 方 (E)在 臺 灣 南 半 部 , 歐 亞 板 塊 向 東 隱 沒 到 菲 律 賓 海 板 塊 下 方
25. 某 廠 商 生 產 三 種 燈 泡:白 熾 燈 泡、省 電 燈 泡、LED 燈 泡,其 資 料 如 表 3 所 示。 假 設 一 度 電 的 電 費 為 2.5 元 , 每 年 平 均 約 使 用 2000 小 時 , 且 燈 泡 售 價 不 變 , 「 電 能 轉 換 為 光 通 量 效 率 」定 義 為 平 均 光 通 量 對 耗 電 功 率 的 比 值,則 下 列 敘 述 哪 些 正 確 ? ( 應 選 2 項 ) (A)LED燈 泡 一 年 的 電 費 約 為 100元 (B)一 年 電 費 與 燈 泡 購 置 費 總 和 的 大 小 順 序 為 : 白 熾 燈 泡 > LED燈 泡 > 省 電 燈 泡 (C)一 年 電 費 與 燈 泡 購 置 費 總 和 的 大 小 順 序 為 : 白 熾 燈 泡 > 省 電 燈 泡 > LED燈 泡 (D)「 電 能 轉 換 為 光 通 量 效 率 」 的 大 小 順 序 為 : LED燈 泡 > 省 電 燈 泡 > 白 熾 燈 泡 (E)只 就 節 省 電 能 考 量 , 應 全 面 換 裝 省 電 燈 泡
26. 某 生 以 鳳 仙 花 及 朱 槿 花 為 對 象,探 討 影 響 花 粉 萌 發 的 因 素。因 素 有 三 項:開 花 後 第 幾 天 的 花 粉( 1 或 3 天 )、浸 泡 花 粉 的 蔗 糖 溶 液 濃 度( 0~ 20%)、及 蔗 糖 溶液 處 理 花 粉 的 時 間 長 短( 1 或 2 小 時 )。各 項 因 素 與 萌 發 率 的 關 係 如 圖 7 所 示。有 關 蔗 糖 對 花 粉 萌 發 過 程 的 影 響 , 下 列 哪 些 正 確 ? ( 應 選 3 項 ) (A)花 粉 可 在 不 含 蔗 糖 的 溶 液 中 萌 發 (B)用 5%的 蔗 糖 對 1天 的 鳳 仙 花 花 粉 沒 有 增 益 的 效 果 (C)用 10%的 蔗 糖 對 3天的朱槿 花 花 粉 有 增 益 的 效 果 (D)用 15%的 蔗 糖 處 理 萌 發 率 都 比 10%處 理 為 低 (E)用 20%的 蔗 糖 處 理 鳳仙花 花 粉 沒 有 增 益 的 效 果
31. 某生擬將 1.00 M 的 NaOH 水 溶 液 , 加 水 稀 釋 成 0.100 M 的 NaOH 水 溶 液 , 則 應 使 用 下 列 哪 些 實 驗 器 材 進 行 配 製 ? ( 應 選 2 項 ) (A) (B) (C) (D) (E)
34. 某 生 利 用 學 校 的 望 遠 鏡 測 得 銀 河 系 內 某 天 體 在 可 見 光 的 星 等 為 2.5, 考 慮 星 際 塵 埃 會 使 亮 度 變 暗,修 正 後 得 到 的 星 等 為 2.5+△m。下列敘述 哪 些 正 確 ?( 應 選 2 項 ) (A) (B)(C)該 天 體 的 光 譜 型 態 決 定△m是否為正值 (D)若 該 天 體 距 離 越 遠 , 通 常 星 際 塵 埃 的 影 響 越 顯 著 (E)若 該 天 體 位 於 銀 河 系 外 , 則 △m = 0
38. 若 將 腦 部 同 一 位 置 在 4 種 情 況 下 , 以 相 同 比 例 尺 度 繪 製 的 腦 電 波 紀 錄 簡 化 後 如 圖 8 所 示。已 知,下列 有 關 該 腦 電 波 紀 錄 電 壓 起 伏 幅 度 的 敘 述,何 者 正確? (A)電 壓 為 電 能 量 , 單 位 為 焦 耳 (B)電 壓 的 單 位 為 安 培 , 是 國 際 單 位 制 的 基 本 量 (C)深 睡 時 , 電 壓 起 伏 幅 度 最 微 弱 (D)清 醒 活 動 時 , 電 壓 起 伏 幅 度 最 強 烈 , 約 是 1 mV (E)睏 倦 入 眠 時 , 電 壓 起 伏 幅 度 大 於 清 醒 休 息 時
39. 依據圖 8 所 示 , 下 列 關 於 腦 電 波 的 敘 述 何 者 正 確 ?
(A)腦 電 波 的 頻 率 為 波 長 與 波 速 的 乘 積 (B)深 睡 時 , 腦 電 波 的 頻 率 最 高 (C)深 睡 時 , 腦 電 波 的 週 期 大 於 2秒 (D)睏 倦 入 眠 時 , 腦 電 波 的 頻 率 大 於 5 Hz (E)清 醒 活 動 時 , 腦 電 波 的 頻 率 最 高 , 大 於 1000 Hz
46. 下 列 哪 一 對 的 力 , 互 為 作 用 力 與 反 作 用 力 ? (A) (B) (C) (D) (E)
47. 設 重 力 加 速 度 為 g , 若 僅 考 慮 力 的 量 值 , 則 下 列 關 係 式 何 者 正 確 ? (A)(B) (C) (D) (E)
48. 假 設 以 兩 球 自 然 下 垂 時 的 最 低 點 為 位 能 零 點,則 因 碰 撞 而 損 失 的 力 學 能 佔 原 來 總 力學能 的 比 例 為 下 列 何 者 ? (A) (B) (C) (D)(E) 0
51. 明 明 建 立 她 和 姊 姊 白 白 的 血 親 譜 系 圖( 圖 13);除 了 尚 未 驗 血 的 新 生 女 兒,她 標 註 上 全 部 人 的 ABO 血 型。X 為 明 明 的 先 生,而 Y 是 她 的 姊 夫,下 列 她 寫 下 的 推 論 何 者 正 確 ? (A)我 ( 明 明 ) 媽 媽 的 血 型 是 同 型 合 子 (B)我 爸 爸 的 血 型 不 可 能 是 同 型 合 子 (C)我 先 生 的 血 型 必 定 是 同 型 合 子 的 A型 (D)我 姊 夫 的 血 型 一 定 是 同 型 合 子 的 O型 (E)我 女 兒 的 血 型 四 種 ABO血 型 都 有 可 能
54. 圖 14 為 某 隔 絕 地 遭 森 林 大 火 後 , 地 上 植 被 隨 時 間 發 展 的 情 形 。 下 列 有 關 此 地 消 長 的 敘 述 哪 些 正 確 ? ( 應 選 3 項 ) (A)以 物 種 的 豐 富 度 而 言 , 甲 群 集 低 於 丙 群 集 (B)以物種 之 間 的 競 爭 程 度 而 言 , 乙 群 集 較 丁 群 集 為 小 (C)以 群 集 轉 變 過 程 而 言 , 大 火 後 較 火 山 爆 發 後 來 得 快 (D)丁 群 集 若 達 到 巔 峰 的 狀 態 , 其 物 種 組 成 將 不 再 變 化 (E)群 集 消 長 過 程 所 形 成 的 植 被 外 貌 是 不 連 續 的
55. 全 球 之 人 口 成 長 趨 勢 , 經 聯 合 國 經 濟 和 社 會 事 務 部 統 計 如 圖 15 實 線 所 示 , 2019 年 之 人 口 數 為 77 億 。 預 測 人 的 未 來 族 群 之 大 小 如 細 虛 線 所 示 。 下 列 敘 述 哪 些 正 確 ? ( 應 選 3 項 ) (A)人 的 族 群 成 長 可 用 指 數 函 數 表 示 (B)目 前 人 的 族 群 仍 然 處 於 正 成 長 期 (C)預 測 未 來 二 十 年 人 的 族 群 年 成 長 率 逐 漸 下 降 (D)目 前 的 年 齡 結 構 仍 帶 動 著 2080年 的 族 群 走 向 (E)每 一 位 成 年 女 性 的 生 育 數 若 稍大於 2, 可 維 持 族 群 大 小
56. 表 4 所 列 為 甲 、 乙 、 丙 、 丁 和 戊 五 種 物 質 的 熔 點 : 其 中,甲 具 有 共 價 鍵 和 離 子 鍵,乙 在 空 氣 中 穩 定 且 難 溶 於 水,丙 具 共 價 網 狀 結 構 並 可 導 電,丁 易 溶 於 水 且 其 水 溶 液 可 導 電,戊 則 具 有 延 展 性。已 知 甲、乙、丙、 丁 和 戊 分 別 代 表 以 下 所 列 的 物 質 之 一 : 石 墨 、 鎂 帶 、 氯 化 鈉 、 甲 烷 、 酒 精 、 金 剛 石 、 碳 化 矽 、 硫 酸 鉀 下 列 選 項 中 的 配 對 哪 些 正 確 ? (應選 2項 ) (A)甲 為 硫 酸 鉀 (B)乙 為 甲 烷 (C)丙 為 金 剛 石 (D)丁 為 碳 化 矽 (E)戊 為 氯 化 鈉
57. 化 學 家 在 合 成 新 的 有 機 化 合 物 後,會 利 用 碳 與 氫 的 元 素 分 析 數 據,來 幫 助 化 合 物 的 鑑 定 。 假 設 在 鑑 定 一 未 知 的 有 機 化 合 物 時 , 發 現 當 10.0 毫 克 的 樣 品 完 全 燃 燒 後 , 其 混 合 氣 體 可 使 無 水 過 氯 酸 鎂 管 柱 增 加 10.8 毫 克 , 並 使 氫 氧 化 鈉 管 柱 增 加 26.4 毫 克 。 試 問 下 列 哪 一 個 化 合 物 , 最 符 合 實 驗 所 測 量 結 果 ? (A) (B) (C) (D) (E)
58. 已 知 25℃時 , 同 體 積 的 鹽 酸 水 溶 液 與 氫 氧 化 鈉 水 溶 液 混 合 後 , 其 pH 值 為 6.0, 則 混 合 前 鹽 酸 水 溶 液 的 濃 度 與 氫 氧 化 鈉 水 溶 液 的 濃 度 相 差 多 少 ? (A)鹽 酸 水 溶 液 較 氫 氧 化 鈉 水 溶 液 多 (B)鹽 酸 水 溶 液 較 氫 氧 化 鈉 水 溶 液 多(C)氫 氧 化 鈉 水 溶 液 較 鹽 酸 水 溶 液 多 (D)氫 氧 化 鈉 水 溶 液 較 鹽 酸 水 溶 液 多 (E)氫 氧 化 鈉 水 溶 液 較 鹽 酸 水 溶 液 多
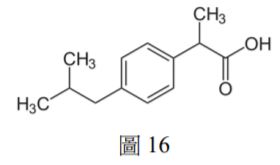
59. 布 洛 芬 是 一 種 市 面 上 常 見 的 消 炎 止 痛 藥 成 分,其 化 學 結 構 如 圖 16。此 分 子 的 化 學 式 為 , 可 溶 於 水 , 水 溶 液 為 酸 性 。 下 列 敘 述 哪 些 正 確 ? ( 應 選 2 項 ) (A)此 分 子 骨 架 中 的 碳 -碳 鍵 是 以 共 價 鍵 形 式 結 合 (B)其 水 溶 液 為 酸 性 , 與 結 構 中 的 羧 基 有 關 (C)結構中氧原子 與 氫 原 子 間 是 以 離 子 鍵 的 形 式 結 合 , 因 此 此 分 子 的 固 態 為 離 子 晶 體 (D)此 分 子 六 員 環 上 的 碳 , 其 路 易 斯 結 構 具 有 孤 電 子 對 (E)此 分 子 具 有 雙 鍵 , 因此有順 -反 異 構 物 之 存 在
60. 西 元 2019 年 , 諾 貝 爾 化 學 獎 頒 給 對 鋰 離 子 電 池 研 究 有 重 大 貢 獻 的 學 者 , 鋰 離 子 電 池 作 用 原 理 是 利 用 鋰 離 子 在 兩 電 極 之 間 的 移 動 來 充放電 能。常 見 的 鋰 離 子 電 池 使 用 鋰 離 子 嵌 入 石 墨 當 作 陽 極,石 墨 的 二 維 多 層 結 構 有 助 於 與 鋰 離 子 結 合 以 及 移 動,因 此 可 作 為 電 池 之 陽 極 材 料,在 放 電 時 其 化 學 反 應 如 下( C6 表 示 每 六 個 碳原 子 可 以 嵌 入 一 個 鋰 離 子 ) :( 式 1) 常 用 的 陰 極 材 料 為 氧 化 鈷 等 能 與 鋰 離 子 結 合 的 氧 化 物,在 放 電 時 其 化 學 反 應 為: ( 式 2) 結合式 1與 式 2, 放 電 時 電 池 總 反 應 為 :( 式 3) 此 反 應 在 正 常 操 作 下 為 可 逆 反 應,因 此 鋰 離 子 電 池 可 以 反 覆 充 放 電。下 列 敘 述 哪 些 正 確 ? ( 應 選 2項 ) (A)在 放 電 反 應 中 ( 式 3) , 石 墨 作 為 氧 化 劑 (B)將 石 墨 換 成 鑽 石 材 料 的 三 維 結 構 , 應 可 儲 存 更 多 鋰 離 子 , 讓 電 池 更 有 效 率 (C)式 3的 反 應 由 左 到 右 為 放 熱 反 應 (D)放 電 時 , 鋰 離 子 與 電 子 由 石 墨 層 中 釋 放 出 來 (E)鋰 離 子 電 池 破 裂 後 有 起 火 爆 炸 的 危 險 , 因 為 鋰 離 子 活 性 很 高 , 遇 水 會 燃 燒
65. 科 學 家 主 要 利 用 聲 波 來 探 測 海 洋 , 一 般 海 水 的 垂 直 聲 速 結 構 如 圖 17 所 示 , 考 量 海 水 溫 度 及 壓 力 的 垂 直 變 化,推 測 海 水 溫 度 與 壓 力 對 海 水 聲 速 的 可 能 影 響。( 應 選 2 項 )(A)AD(B)AE(C)BD(D)CF
66. 科 學 家 透 過 各 種 地 質 探 勘 後,繪 製 出 某 地 區 的 地 層 示 意 圖( 圖 18),假 設 此 露 頭 不 曾 經 過 地 層 倒 轉 , 則 下 列 敘 述 哪 些 正 確 ? (應選 2 項 ) (A)岩 層 的 生 成 順 序 可 能 是 A– B– I– C– D (B)岩 層 的 生 成 順 序 可 能 為 A– B– C– D– I (C)該 火 成 岩 形 似 火 山,A、B先 生 成,火 山 I和 C同 時 形 成 (D)根 據 截 切 定 律 , I比 A、 B和 C早 生 成 (E)缺 乏 化 石 和 定 年 資 料 , 無 法 判 斷 岩 層 的 確切年代