所屬科目:技師◆大地測量學
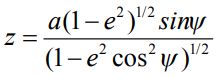
五、若已知橢圓的長、短軸半徑分別為 a 及 b,橢圓上一點 P,其大地經緯度為(φ ,λ ) 。試定義過 P 點的子午面直角坐標(x ,z ) 及 P 點的地心緯度 (geocentric latitude)Ψ,並證明 及。