所屬科目:技師◆大地測量學
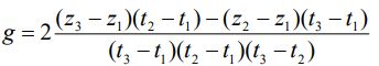
五、請問何為絕對重力測量?目前絕對重力測量是採自由落體法量測,例如具有 μgal 級 精度之 FG5 絕對重力儀。試利用物理學中自由落體的運動方程式推導出絕對重力加 速度(自由落體三位置法) : 其中 t 為時間,z 為位置。並說明絕對重力儀(例如 FG5)之高精度時間與位置分別 以那種方法觀測。(20 分) (請接背面)