所屬科目:技師◆航空發動機
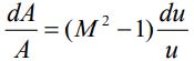
(一)請推導準一維流的面積與馬赫數(Mach number)的關係式:
(一)假設氣流由自由流進入壓縮器入口為等熵流(isentropic flow, p2/p1 = ), 請計 算壓縮器入口的氣流全溫( total temperature,T01)及全壓(total pressure,p01)。