阿摩線上測驗 登入

申論題資訊

試卷:109年 - 109 專技高考_航空工程技師:航空發動機#93120
科目:技師◆航空發動機
年份:109年
排序:0

題組內容

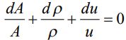
一、考 慮準一 維流( quasi-one dimensional flow),請 依據動 量方程 式 (momentum equation),ρudu=-dp,及連續方程式(continuity equation),5fbc7c22b3049.jpg :(每小題 10 分,共 20 分)

申論題內容

(二)請說明在噴射發動機的流場中,那一部分可以用面積與馬赫數的關係 式來描述流場的現象。