所屬科目:技師◆都市交通計畫
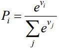
三、依羅吉特模式(Logit Model) 可推算出各種不同運具選擇使用之機率值。今若假設開車(auto)、公車(bus)或自行車(cycling)上班。 各運具系統之效用函數(utility function, i v )如下:
其中 運具 i 之旅行時間(分鐘)
運具 i 之旅行費用(元)
由觀測資料中可得知各參數值如下:
由以上資料,試分別推求出各種運具選擇使用之效用值各為多少?同時機率值為何?