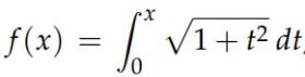
12. (10 points) Let
, x≥ 0. Use the mean value theorem for definite integral and the limit-definition of derivative to find f'(x).
(Mean Value Theorem) Suppose f : [a,b] → IR is continuous on fa, b and differentiable on (a,b). Then there exists c
(a,b) such that
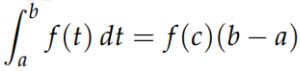
(Mean Value Theorem for Definite Integral) Suppose f : [a,b] → IR is a continuous function. Then there exists c
[a,b] such that 