阿摩線上測驗
登入
首頁
>
研究所、轉學考(插大)◆生化暨分子生物學
> 110年 - 110長庚大學_碩士班招生考試_生物醫學研究所︰生化暨分子生物學#101176
110年 - 110長庚大學_碩士班招生考試_生物醫學研究所︰生化暨分子生物學#101176
科目:
研究所、轉學考(插大)◆生化暨分子生物學 |
年份:
110年 |
選擇題數:
45 |
申論題數:
10
試卷資訊
所屬科目:
研究所、轉學考(插大)◆生化暨分子生物學
選擇題 (45)
1. The genome of a bacterium (A) is diploid. (B) may include multiple plasmids. (C) is with an average % G+C at 50%. (D) All of the above are correct.
2. Chromosome replication of bacteria (A) starts at multiple origins. (B) proceeds bidirectionally. (C) is independent of a RNA primer. (D) All of the above are correct.
3. Which of the following viruses is enveloped and can survive the gastrointestinal tract? (A) Severe acute respiratory syndrome coronavirus 2 (B) Norovirus (C) Rotavirus (D) Hantaan virus
4. Which of the following DNA viruses encodes and carries a reverse transcriptase? (A) Smallpox virus (B) Hepatitis B Virus (C) Epstein-Barr vinus (D) Parvovirus B19
5. Which of the following statements is
INCORRECT
for retroviruses? (A) They are enveloped RNA virus. (B) They encode reverse transcriptase and replicate through a DNA intermediate. (C) Some of them produce tumors in the infected animals. (D) Retroviruses include human immunodeficiency virus (HIV) which primarily infects CD8 T cells.
6. Which of the following parts in an antibody does
NOT
contact with in antigen? (A) heavy chain (B) light chain (C) constant region (D) V domain
7.Which of the following solutions is the most commonly used reagent to wash cells and retain the cell morphology? (A) 1X PBS (B) 0.5N NaOH (C) 1XTAE (D) 1% Triton X-100
8. An enzyme that recognizes specific palindromic sequence and digests double-stranded DNA is called (A) DNA polymerase (B) ligase (C) recombinase (D) restriction enzyme
9. Which of the following techniques does
NOT
involve the use of antibodies? (A) ELISA (B) Flow cytometry (C) SDS-PAGE (D) Western blotting
10. Which of the followings is utilized for studying DNA-protein interaction? (A) Pulse-field gel electrophoresis (B) Electrophoretic mobility shift assay (C) Immunoprecipitation assay (D) Transcriptional fusion reporter assay
11. Which of the following motifs is commonly found in many DNA-binding proteins? (A) inverted-repeat (B) double-helix (C) helix-turn-helix (D) stem-and-loop
12. Endotoxin is also known as (A) Peptidoglycan (B) Flagella (C) Teichoic acid (D) Lipopolysaccharide
13. Transduction is mediated by (A) Transposon (B) Plasmid (C) Bacterial phage (D) CRISPR-Cas system
14. In a DNA double helix the bases are held together by hydrogen bonds. These hydrogen bonds are (A) covalent bonds (B) non-covalent bonds (C) ionic bonds (D) van der Waals forces
15. Please check which one of the following mechanisms is wrongly paired with its location of occurrence? (A) Transcription - nucleus (B) Post transcriptional mechanism - endoplasmic reticulum (C) Translation - cytoplasm (D) Post translational mechanism - endoplasmic reticulum
16. Which of the followings serves as the first primer in RT-PCR for eukaryotic RNA? (A) Oligo A (B) Oligo G (C) Oligo T (D) Oligo C
17. What changes occur in the chromosome to make it inactive? (A) Methylation (B) Glycosylation (C) Acetylation (D) Phosphorylation
18. Monoclonal antibodies are produced by what method? (A) Recombinant DNA technology (B) Transformation (C) Hybridoma technology (D) Transfection
19. Severe acute respiratory syndrome coronavirus 2 (SARS-CoV-2) belong to which kind of virus? (A) single-stranded DNA virus. (B) double-stranded DNA virus. (C) single-stranded RNA virus. (D) double-stranded RNA virus.
20. During the expression process of a protein from its gene, what is the role of the promoter sequence? (A) Initiation of RNA transcription (B) Initiation of protein translation (C) Initiation of protein modification (D) Initiation of RNA degradation
21. Which of the following protein modifications is critically involved in the intracellular signaling pathway? (A) Glycosylation (B) Phosphorylation (C) Hydroxylation (D) Acetylation
22. Restriction enzymes are endonuclease that can recognize and digest (A) single-stranded RNA (B) single-stranded DNA (C) double-stranded RNA (D) double-stranded DNA
23. Which of the followings is the basis of the 'Modema COVID-19" vaccine? (A) Live attenuated vaccine (B) Inactivated vaccine (C) RNA-based vaceine (D) Protein subunit vaccine
24. In what direction is RNA transcribed? (A) 3' to 5' (B) 5' to 3' (C) N to C terminal (D) C to N terminal
25. What is the purpose of RNA editing in different cells/tissues? (A) Increase effective genctic diversity (B) Repair DNA damage (C) Provide catalytic activity to RNA (D) Proofread newly synthesized RNA
26. During DNA replication, the primers used for leading and lagging strand initiation must be removed by what kind of enzymatic activity? (A) 3* to 5' exonuclease (B) 5' to 3' exonuclease (C) 3' to 5' endonuclease (D) 5' to 3' endonuclease
27. Which of the followings is an example of a silent mutation? (A) UAC to UAG (B) UCC to UCA (C) AAA to UAA (D) UAA to UGA
28. There are varieties of vaccines developed and available for preventing COVID-19 infection
EXCEPT
(A) Messenger RNA vaccine (B) Vector vaccine (C) Protein subunit vaccine (D) tRNA vaccine
29. Which of the following sequences is
NOT
found in pre-mRNA? (A) Exon (B) Intron (C) Promoter (D) Stop Codon
30. Which of the followings is involved in RNA splicing? (A) snRNA (B) snoRNA (C) rRNA (D) tRNA
31. Which of the following enzymes is
NOT
required during mammalian DNA replication? (A) Primase (B) T4 DNA ligase (C) DNA helicase (D) DNA polymerase
32. All of the followings are involved in protein translation
EXCEPT
(A) mRNA (B) rRNA (C) tRNA (D) siRNA
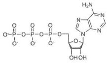
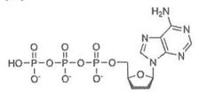
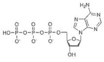
33.Which of the following is a DNA molecule? (A)
(B)
(C)
(D)
34. Which of the following descriptions of ''virus" is
INCORRECT
? (A) A virus is a small infectious agent that can replicate only inside the living cells of an organism. (B) A virus is composed of protein coat and nucleic acid. (C) The genetic material of a virus is either a double-stranded DNA or a single-stranded RNA. (D) During virus replication, some virus particles may not contain viral genome.
35. During which stage of the cell cycle does DNA replication occur? (A) G1 (B) S (C) G2 (D) M
36. DNA hypermethylation is often associated with (A) gene mutation (B) gene activation (C) gene translocation (D) gene silencing
37. One of the strong pieces of evidence for the process of gene duplication and mutation is the occurrence of (A) introns. (B) transposons. (C) pseudogenes. (D) heterochromatin.
38. If you want to prepare a denaturing protein gel for electrophoresis, you need to have the
followings:
i. polyacryamide
ii. ammonium sulfate
iii. TEMED
iv. β-mercaptoethanol(A) i and ii(B) ii and iii(C) iii and iv(D) All
39. What is the role of the Kozak scquence? (A) Initiation of RNA transcription (B) Initiation of protein translation (C) The ribosomal binding site (D) A transcription factor binding site
40. Which one-letter symbol represents the amino acid lysine? (A) K (B) L (C) R (D) S
41. Which of the following sequences is
NOT
found in a mature mRNA? (A) UTR (B) Exon (C) Intron (D) Stop Codon
42. Which of the following components does
NOT
participate in protein degradation? (A) Ubiquitin (B) Proteasome (C) E3 ligase (D) Lysozyme
43. Which of the followings is a stop codon on mRNA? (A) UAU (B) UAG (C) UGU (D) UUG
44. Which of the following statements is
NOT
true regarding Tag DNA polymerase? (A) Potassium chloride promotes its activity. (B) Optimum temperature for its activity is 75-80C. (C) It is a thermostable DNA polymerase 1. (D) It contains 3' to 5' exonuclease activity.
45. Which of the following scientists is
NOT
associated with the discovery of the double-helix model of DNA? (A) James Watson (B) Kary Mullis (C) Francis Crick (D) Rosalind Franklin
申論題 (10)
【已刪除】1.
【已刪除】2.
【已刪除】3.
【已刪除】4.
【已刪除】5.
【已刪除】6.
【已刪除】7.
【已刪除】8.
【已刪除】9.
【已刪除】10.
相關試卷
115年 - [無官方正解]115 國立中山大學_碩士班考試入學招生考試試題_生科系:生物化學與分子生物學#138372
115年 · #138372
114年 - 114 國立中山大學_碩士班招生考試試題_生科系:生物化學與分子生物學#126278
114年 · #126278
109年 - 109 長庚大學_碩士班招生考試_生物醫學研究所碩士班:生化暨分子生物學#125895
109年 · #125895
108年 - 108 長庚大學_研究所碩士班招生考試_生物醫學研究所碩士班:生化暨分子生物學#125897
108年 · #125897
107年 - 107 長庚大學_研究所碩士班招生考試試題_生物醫學研究所碩士班:生化暨分子生物學#126147
107年 · #126147
103年 - 103 長庚大學_研究所碩士班(含在職專班)招生考試_生物醫學研究所碩士班:生化暨分子生物學#126190
103年 · #126190