所屬科目:研究所、轉學考(插大)◆化學(含普通化學、有機化學)
24. Which of the following ions should have the most exothermic ΔHhydration? (A) (B) (C) (D)
35. Balance the following redox reaction if it occurs in acidic solution. What are the coefficients in front of H⁺ and in the balanced reaction?
(A) (B) (C) (D)
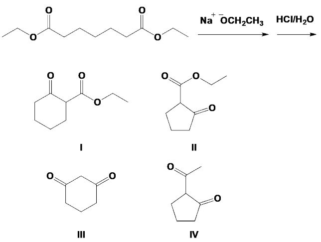
52. Which of the reactions below are most likely to be reactions?
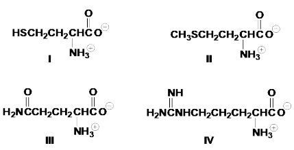
63. Which acid is strongest? (A) I (B) II (C) III (D) IV
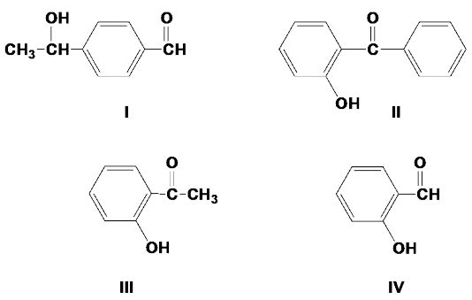
74. Which saturated fatty acids have the correct name?(A) I, II (B) III, IV (C) I, III (D) II, IV